Published by Masoud FARHOODNEA1, Azah MOHAMED1, Hussain SHAREEF1, Hadi ZAYANDEHROODI1, University Kebangsaan Malaysia (UKM) (1)
Abstract. This paper presents a dynamic PQ analysis on the effects of high-penetrated grid-connected photovoltaic (PV) systems in a distribution system under different weather conditions. To track practical considerations, all information on PV units and weather conditions given in this paper were collected from different solar panel producers and from the Malaysian Meteorological Department (MMD), respectively. A 1.8 -MW grid-connected PV system in a radial 16-bus test system is modeled and simulated using Matlab/Simulink software to study the effects of this technology on the system under different levels of solar irradiation. The simulation results proved that the presence of high-penetrated grid-connected PV systems could cause power quality problems such as voltage raise, voltage flicker, and power factor reduction.
Streszczenie. W artykule przedstawiono analizę dynamicznych zmian mocy w dużym systemie fotowoltaicznym dołączonym do sieci, w przypadku rożnych warunków pogodowych. W badaniach wykorzystano rzeczywiste informacje pogodowe. Model sumacyjny stworzono w programie Matlab- Simulink, a następnie sprawdzono jego działanie w warunkach różnego poziomu zadanego nasłonecznienia. Wyniki pokazały, że duże zespoły paneli PV, podłączone do sieci, mogą wywołać problemy z jakością energii. (Analiza jakości energii w sieci elektroenergetycznej z dołączonymi systemami fotowoltaicznymi).
Keywords: power quality; distributed generation; renewable energy; photovoltaic systems; voltage fluctuation; flicker
Słowa kluczowe: jakość energii, generacja rozproszona, energia odnawialna, systemy fotowoltaiczne, wahania napięcia, migotanie.
Introduction
The use of photovoltaic (PV) systems as a safe and clean source of energy from the sun has been rapidly increasing. The application of PV systems in power systems can be divided into two main fields: off-grid or stand-alone applications and on-grid or grid-connected applications. Stand-alone PV systems can be used to provide power for remote loads that do not have any access to power grids while grid-connected applications are used to provide energy for local loads and for the exchange power with utility grids [1]. The first large grid-connected PV power plant with 1 MW capacity was installed in Lugo, California, USA. The second plant with 6.5 MW capacity was installed in Carissa Plains, California, USA. Currently, many large grid-connected PV systems with different ranges of power are operating in various countries, such as Switzerland, Germany, Australia, Spain, and Japan.
PV systems can enhance the operation of power systems by improving the voltage profile and by reducing the energy losses of distribution feeders, the maintenance costs, and the loading of transformer tap changers during peak hours [2]. Nonetheless, in comparison with other renewable technologies, PV systems still face major difficulties and may pose some adverse effects to the system, such as overloading of the feeders, harmonic pollution, high investment cost, low efficiency, and low reliability, which hinder their widespread use [3]. Moreover, variations in solar irradiation can cause power fluctuation and voltage flicker, resulting in undesirable effects on high penetrated PV systems in the power system [4]. Some control methods, such as Maximum Power Point Tracking (MPPT) can be used to improve efficiency of PV systems. In such controllers, both the produced voltage and the current of the PV array should be controlled. This may complicate the PV system structure with increased possibility of failure while tracking maximum power in unexpected weather conditions [5]. With respect to system protection scheme, the PV system-based distributed generations (DGs) should energize the local loads after the system has been disconnected from the utility grid during faulty conditions [6]. In these situations, any unintentional islanding may increase the risk of safety problems or damage to other parts of the system components, which can decrease system reliability [7].
These problems mean that accurately analyzing the effects of installing large grid-connected PV systems on the performance of the electric network is necessary. This evaluation is important because it can provide feasible solutions for potential operational problems that grid-connected PV systems can cause to other components in distribution systems. In the literature, many works focus on steady-state modeling and analysis of PV systems [8–11]. However, no attempt has yet been made to study the effects of grid-connected PV systems on the dynamic operation and control of the system before real-time implementation.
This paper aims to accurately analyze the effects of installing large grid-connected PV systems on the dynamic performance of distribution networks. To conduct practical analysis in the absence of field measurements, all PV unit modeling data were obtained from various solar panel manufacturers. To investigate the effects of different weather conditions on the produced power of the PV units, the required Kuala Lumpur meteorological data was obtained from the Malaysian Meteorological Department (MMD) [12]. Simulation was performed on a modified radial 16-bus test system with a 1.8-MW grid-connected PV system, using the Matlab/Simulink software to study the effects of the PV system on system performance under sunny and cloudy weather conditions.
PV System modeling
High-penetrated grid-connected PV systems, which are known as a type of DG in the megawatt range, are rapidly developed. These cover the majority of the PV market in different countries worldwide. The main components of a grid-connected PV system includes a series/parallel mixture of PV arrays to directly convert sunlight to DC power and a power-conditioning unit that converts DC power to AC power; this unit also keeps the PVs operating at maximum efficiency [13]. Figure 1 shows the general diagram of grid-connected PV systems. Notably, in many cases, energy storage devices such as batteries and super-capacitors are also considered the third component of grid-connected PV systems. These devices enhance the performance of PV systems, such as power generation at night, reactive power control over the PV systems, peak load shifting, and voltage stabilizing of grids [14].

To provide proper interface between grid-connected PV systems and the utility grid, some conditions must be satisfied, such as phase sequence, frequency and voltage level matching. Providing these conditions strongly depends on the applied power electronics technology of PV inverters.
The electric characteristics of a PV unit can generally be expressed in terms of the current-voltage or the power voltage relationships of the cell. The variations in these characteristics directly depend on the irradiance received by the cell and the cell temperature. Therefore, to analyze the dynamic performance of PV systems under different weather conditions, a proper model is required to convert the effect of irradiance and temperature on produced current and voltage of the PV arrays.
Figure 2 shows the equivalent electrical circuit of a crystalline silicon PV module. In this model, I is the output terminal current, IL is the light-generated current, Id is the diode current, Ish is the shunt leakage current, Rs is the internal resistance, and Rsh is the shunt resistance. In practice, the value of Rs strongly depends on the quality of the used semi-conductor. Therefore, any small variation in Rs value can dramatically change the PV output [15].

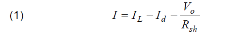
Following Fig. 1 the output current, I, of the PV module can be expressed as

where Vo is the voltage on the shunt resistance.
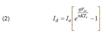
The diode current, Id, can be obtained using the classical diode current expression [15], thus

where Io is saturation current of the diode, q is electron, n is curve-fitting constant, K is Boltzmann constant, Tr is temperature on the absolute scale, and n is the ideality factor, whose value is between 1 and 2.
By substituting (2) in (1) and ignoring the last term, the output current, I, can be rewritten as

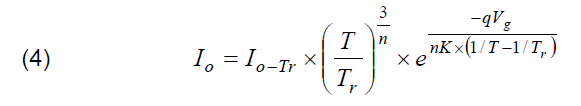
where the saturation current, Io, at different operating temperatures can be calculated [16], thus:

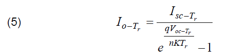
and,

In (4) and (5), Vg is the band gap voltage, Voc-Tr is the open circuit voltage, and Isc-Tr is the short circuit current at the rated operating conditions.
The photocurrent IL, in (3) is directly proportional to the solar radiation level, G (W/m2), and can be expressed as

where,

where, αIsc is the short circuit temperature coefficient. The open circuit voltage Voc, which is sensitive to temperature, can be also obtained [17], thus:

where, βVoc is the open circuit temperature coefficient. Notably, all coefficients should be determined under a standard rated condition of 25 °C cell temperature and 1000 W/m2 solar radiation level [18]. Using the provided coefficient by the manufacturers and the mathematical equations (3–8), any PV module can be modeled for dynamic analysis.
The produced DC voltage of a PV module can be raised to a specific level using a DC-DC boost converter, and an MPPT technique can be used in the boost converter to efficiently control the produced power of PV arrays. The produced DC power is then converted into AC power by using a three-phase three-level Voltage Source Converter (VSC). The power is then injected into the system using a coupling transformer at the desired voltage level.
Possible effect of grid-connected PV systems on distribution systems
Renewable energy sources, especially PV systems, have become more significant sources of energy, attracting considerable commercial interest. Nonetheless, the connection of large PV systems to utility grids may cause several operational problems for distribution networks. The severity of these problems directly depends on the percentage of PV penetration and the geography of the installation. Hence, knowing the possible impact of large grid-connected PV systems on distribution networks can provide feasible solutions before real-time and practical implementations. The aim of this section is to introduce possible effects that PV systems may impose on distribution systems.
Inrush Current
The small inevitable difference between PV systems and grid voltages may introduce an inrush current that flows between the PV system and the utility grid at connection time, and decays to zero at an exponential rate. The produced inrush current may cause nuisance trips, thermal stress, and other problems [19].
Safety
Safety is one of the major concerns in PV systems due to unintended islanding at the time of fault occurrence at the grid side. Here, PV systems continue to feed the load even after the network is disconnected from the utility grid, which may lead to electric shock of workers [20].
Over-voltage
PV systems usually are designed to operate near unity power factor to fully utilize solar energy. In this case, the PV system only injects active power into the utility grid, which may change the reactive power flow of the system. Therefore, voltages of nearby buses can be increased because of the lack of reactive power [14]. The produced over-voltage can have negative effects on the operation of both the utility and customer sides.
Output power fluctuation
The fluctuation of the output power of PV systems is one of the main factors that may cause severe operational problems for the utility network. Power fluctuation occurs due to variations in solar irradiance caused by the movement of clouds and may continue for minutes or hours, depending on wind speed, the type and size of passing clouds, the area covered by the PV system, and the PV system topology. Power fluctuation may cause power swings in lines, over- and under loadings, unacceptable voltage fluctuations, and voltage flickers [1].
Harmonic
Harmonic distortion is a serious power quality problem that may occur due to the use of power inverters that convert DC current to AC current in PV systems. The produced harmonics can cause parallel and series resonances, overheating in capacitor banks and transformers, and false operation of protection devices that may reduce the reliability of power systems [21].
Frequency fluctuation
Frequency is one of the more important factors in power quality. Any imbalance between the produced and the consumed power may lead to frequency fluctuation. The small size of PV systems causes the frequency fluctuation to be negligible compared with other renewable energy-based resources. However, this issue may become more severe by increasing the penetration levels of PV systems. Frequency fluctuation may change the winding speed in electro motors and may damage generators.
Simulation results
To investigate the various effects of grid-connected PV systems on distribution systems, a modified 16-bus test system [22] (Fig. 3) is simulated using the Matlab/Simulink software. The system, which is fed through two 69-kV utility grids, comprised of eight loads with a total power of 10 MVA and 0.8 power factor and three inter-tie circuit breakers. In addition, a 1.8-MW grid-connected PV system, consisting of three 600-kW units, were placed in bus 11 to provide the required power for local loads and to exchange the rest with the system. Two types of commercial PV arrays, SunPower SPR 305 [23] and Sanio HIP 225 [24], were modeled using company data sheets and the described equations in section 2. The produced DC voltage by each PV array was raised using a 5-kHz DC-DC boost converter. An MPPT [25] is implemented in the boost converter to efficiently control photovoltaic energy conversion. Furthermore, the boosted DC voltage is converted into AC voltage using a three-phase three-level VSC. In this analysis, the required information related to solar irradiance under different weather conditions within a year were collected from the MMD [12] and were mixed to create different solar irradiances for sunny and different cloudy weather conditions with slow and fast variations (Fig. 4).









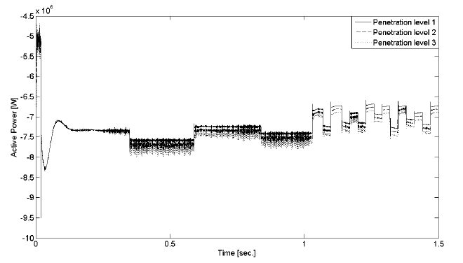
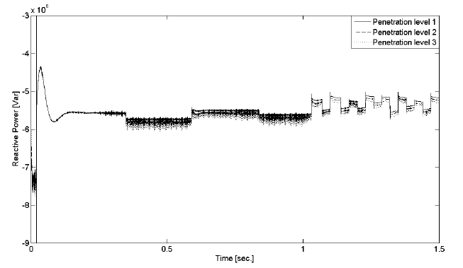
The PV system starts to inject 600 kW power, which is equal to 6% of the total load demand for the first penetration level at 350 ms. In this case, PV continues to feed loads with produced power under 1000 W/m2 solar irradiance until 560 ms. The PV system then feeds through solar irradiance with slow and fast variation at 560 and 1000 ms, respectively. This process is repeated under medium and high PV penetration levels by injecting 1200 kW (12% of the total load demand) and 1800 kW (18% of the total load demands), respectively. Figure 5 shows the injected power by the PV system at bus 11 under these three penetration levels. Figures 6 to 11 show the effect of injected power of the PV system on active power, reactive power, and power factor of utility grid1 and grid2 at bus 1 and bus 2, respectively.
A portion of consumed active power by the loads are covered by the PV system as its penetration level increases, whereas the reactive power consumption continues to be provided by the utility grid (Figs. 5 to 11). Therefore, the power factor of the grid decreases to 70% at 1000 W/m2 solar irradiance. Notably, when irradiance is low, the produced active power of PV unit is low. In this case, the PV unit must draw a very small amount of reactive power from the system because of a small difference between line voltage and reference voltage in the PV controller.
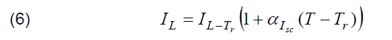
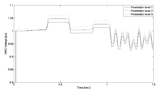
As the penetration level of PV system and the produced active power increases, the system voltage also increases (Fig. 12). Figures 5 and 12 indicate that by increasing the injected active power of PV unit during sunny weather and at high penetration level, the voltage magnitude at bus 6 increases to 1.06 pu, and it is considered as overvoltage based on the IEEE Std 1159-2009 [26]. Voltage flicker occurs at 1000 ms due to the fast power fluctuation of PV together with cloudy weather (Fig. 12). The measured flicker index ( ΔV /V ) at bus 6 under the worst condition exceeds over 6% of its limit as defined in IEEE std 519 [27]
(Fig. 13).


Power fluctuation and voltage variation, which are harmful to sensitive loads, also caused slight variation in total active and reactive power demands of loads, (Figs. 14 and 15, respectively). These variations may cause cable and transformer overloading.


To assess harmonics generated by the PV inverter, the current harmonic spectrum of the current injected by the PV system at bus 11 was measured (Fig. 16). The current THD was calculated to be 15.06%. This value is inconsistent with the THD limit of 5%, as defined in IEEE Std. 519 [27], due to the absence of proper harmonic filter in the PV inverter.
The impedance vs. frequency curve is plotted to investigate the effects of produced current harmonics on system resonance (Fig. 17). The figure shows that the probability of resonance occurrence in the test system in Fig. 3 is very low because of the high R/X ratio of radial systems.

The simulation results indicate that power and voltage fluctuation are the most important effects of PV systems. This fluctuation occurs due to solar irradiance variation and excessive real power produced by the PV unit, which may cause severe problems on system components. Therefore, proper use of capacitor banks or active power conditioning devices to control reactive power and voltage magnitude of the system, in close electrical proximity with PV units, is necessary. In addition, proper harmonic filters should be used for PV inverters to reduce THD and resonance probability, especially in systems with high X/R ratio.

Conclusion
This paper presents an investigation on possible effects of high-penetrated grid-connected PV systems on power quality in distribution systems under varying solar irradiances. All information related to the modeling of PV units and solar irradiances were obtained from different solar panel producers and from the Malaysian Meteorological Department (MMD), respectively. A 1.8-MW grid-connected PV system in a radial 16-bus test system was simulated using Matlab/Simulink software under different solar irradiances. The results show that the active power produced by PV system causes voltage rise, voltage flicker, and power factor reduction, which may create severe problems on the system components.
REFERENCES
[1] Eltawil, M.A. and Z. Zhao. Grid-connected photovoltaic power systems: Technical and potential problems—A review. Renewable and Sustainable Energy Reviews, 14 (2010), No.1, 112-129.
[2] Omran, W.A., M. Kazerani, and M.M.A. Salama. A study of the impacts of power fluctuations generated from large PV systems. in IEEE PES/IAS Conference on Sustainable Alternative Energy (SAE), 2009. 1-6.
[3] Chowdhury, B.H. Effect of central station photovoltaic plant on power system security. in Conference Record of the Twenty First IEEE Photovoltaic Specialists Conference, 1990. 831-835 vol.2.
[4] Caamaño Martín, E., H. Laukamp, M. Jantsch, T. Erge, J. Thornycroft, H. De Moor, S. Cobben, D. Suna, and B. Gaiddon. Interaction between photovoltaic distributed generation and electricity networks. Progress in Photovoltaics: research and applications, 16 (2008), No.7, 629-643.
[5] Seok-Ju, L., P. Hae-Yong, K. Gyeong-Hun, S. Hyo-Ryong, M.H. Ali, P. Minwon, and Y. In-keun. The experimental analysis of the grid- connected PV system applied by POS MPPT. in International Conference on Electrical Machines and Systems 1786-1791.
[6] Zayandehroodi, H., A. Mohamed, H. Shareef, and M. Farhoodnea. A novel neural network and backtracking based protection coordination scheme for distribution system with distributed generation. International Journal of Electrical Power and Energy Systems, 43 (2012), No.1, 868-879.
[7] Gyeong-Hun, K., S. Hyo-Rong, J. Seong-Jae, P. Sang-Soo, K. Sang-Yong, K. Nam-Won, P. Minwon, and Y. In-keun. Performance analysis of the anti-islanding function of a PV-AF system under multiple PV system connections. in International Conference on Electrical Machines and Systems, 2009. 1-5.
[8] Anwari, M., M.I. Hamid, M.I.M. Rashid, and Taufik, Power quality analysis of grid-connected photovoltaic system with Adjustable Speed Drives, in IEEE PES/IAS Conference on Sustainable Alternative Energy, 2009. p. 1-5.
[9] Yi-Bo, W., W. Chun-Sheng, L. Hua, and X. Hong-Hua, Steady-state model and power flow analysis of grid-connected photovoltaic power system, in IEEE International Conference on Industrial Technology, 2008. p. 1-6.
[10] Yang, B., W. Li, Y. Zhao, and X. He. Design and Analysis of a Grid-Connected Photovoltaic Power System. IEEE Transactions on Power Electronics, 25 (2010), No.4, 992 -1000
[11] Yibo, W., W. Chunsheng, L. Hua, and X. Honghua, Steady-State Model of Large-Scale Grid-Connected Photovoltaic Power Generation System, in Proceedings of ISES World Congress. 2009, Springer Berlin Heidelberg. p. 1623-1627.
[12] Malaysian Meteorological Service. Online: http://www.met.gov.my.
[13] Messenger, R.A. and J. Ventre, Photovoltaic systems engineering. 2004: CRC.
[14] Bin, W., H. Tianxiao, J. Bo, D. Xinzhou, and B. Zhiqian.Dynamic modeling and transient fault analysis of feeder in distribution system with MW PV substation. in 45th International Universities Power Engineering Conference (UPEC), 2010. 1-5.
[15] Patel, M.R., Wind and solar power systems: design, analysis, and operation. 2006: CRC.
[16] El-Saadawi, M.M., A.E. Hassan, K.M. Abo-Al-Ez, and M.S. Kandil. A proposed framework for dynamic modelling of photovoltaic systems for DG applications. International Journal of Ambient Energy, 32 (2011), No.1, 2-17.
[17] El-Saadawi, M.M., A.E. Hassan, K.M. Abo-Al-Ez, and M.S. Kandil. A proposed dynamic model of Photovoltaic-DG system. in 1st International Nuclear & Renewable Energy Conference (INREC), 2010. 1-6.
[18] De Soto, W., S. Klein, and W. Beckman. Improvement and validation of a model for photovoltaic array performance. Solar Energy, 80 (2006), No.1, 78-88.
[19] Kageyama, H., T. Yamada, T. Oozeki, K. Kato, and Y. Hishikawa, Measurement of Inrush-Current Waveforms for Modeling Reactance Characteristics of PV Modules, in 26th European Photovoltaic Solar Energy Conference and Exhibition, 2011. p. 3430-3433.
[20] Sharma, S. and B.R. Parekh. Impact of PVPS (PhotoVoltaic Power System) Connection to Grid in Urban Areas. in National Conference on Recent Trends in Engineering & Technology, . Gujarat, India, 2011. 1-5.
[21] Farhoodnea, M., A. Mohamed, H. Shareef, and H. Zayandehroodi. An enhanced method for contribution assessment of utility and customer harmonic distortions in radial and weakly meshed distribution systems. International Journal of Electrical Power and Energy Systems, 43 (2012), No.1, 222-229.
[22] Abdul Kadir, A.F., A. Mohamed, and H. Shareef. Harmonic Impact of Different Distributed Generation Units on Low Voltage Distribution System. in IEEE International Electric Machines and Drives, 2011. 120-125.
[23] SunPower®. Online: http://us.sunpowercorp.com.
[24] SANYO North America Corporation. Online: http://us.sanyo.com.
[25] Kadri, R., J.P. Gaubert, and G. Champenois. An Improved Maximum Power Point Tracking for Photovoltaic Grid-Connected Inverter Based on Voltage-Oriented Control. IEEE Transactions on Industrial Electronics, 58 (2011), No.1, 66-75.
[26] IEEE, IEEE Recommended Practice for Monitoring Electric Power Quality, in IEEE Std 1159-2009 (Revision of IEEE Std 1159-1995). 2009. p. c1-81.
[27] Halpin, S.M. Revisions to IEEE Standard 519-1992. in IEEE PES Transmission and Distribution Conference and Exhibition, , 2006. 1149-1151.
Authors:
1- Masoud Farhoodnea, Email: masoud@eng.ukm.my;
2-Professor Dr. Azah Mohamed, Email: azah@eng.ukm.my;
3-Dr. Hussain Shareef, Email; hussain_ln@yahoo.com;
4-Dr. Hadi Zayandehroodi, Email: h.zayandehroodi@yahoo.com;
Department of Electrical, Electronic and Systems Engineering, Universiti Kebangsaan Malaysia (UKM), Bangi, 43600, Selangor, Malaysia.
The correspondence address is: Masoud Farhoodnea (E-mail: masoud@eng.ukm.my)
Source & Publisher Item Identifier: PRZEGLĄD ELEKTROTECHNICZNY, ISSN 0033-2097, R. 89 NR 2a/2013