Published by Bureau of Energy Efficiency
Syllabus
Electrical system: Electricity billing, Electrical load management and maximum demand control, Power factor improvement and its benefit, Selection and location of capacitors, Performance assessment of PF capacitors, Distribution and transformer losses.
1.1 Introduction to Electric Power Supply Systems
Electric power supply system in a country comprises of generating units that produce electricity; high voltage transmission lines that transport electricity over long distances; distribution lines that deliver the electricity to consumers; substations that connect the pieces to each other; and energy control centers to coordinate the operation of the components.
The Figure 1.1 shows a simple electric supply system with transmission and distribution network and linkages from electricity sources to end-user.

Power Generation Plant
The fossil fuels such as coal, oil and natural gas, nuclear energy, and falling water (hydel) are commonly used energy sources in the power generating plant. A wide and growing variety of unconventional generation technologies and fuels have also been developed, including cogeneration, solar energy, wind generators, and waste materials.
About 70 % of power generating capacity in India is from coal based thermal power plants. The principle of coal-fired power generation plant is shown in Figure 1.2. Energy stored in the coal is converted in to electricity in thermal power plant. Coal is pulverized to the consistency of talcum powder. Then powdered coal is blown into the water wall boiler where it is burned at temperature higher than 1300°C. The heat in the combustion gas is transferred into steam. This high-pressure steam is used to run the steam turbine to spin. Finally turbine rotates the generator to produce electricity.

In India, for the coal based power plants, the overall efficiency ranges from 28% to 35% depending upon the size, operational practices and capacity utilization. Where fuels are the source of generation, a common term used is the “HEAT RATE” which reflects the efficiency of generation. “HEAT RATE” is the heat input in kilo Calories or kilo Joules, for generating ‘one’ kilo Watt-hour of electrical output. One kilo Watt hour of electrical energy being equivalent to 860 kilo Calories of thermal energy or 3600 kilo Joules of thermal energy. The “HEAT RATE” expresses in inverse the efficiency of power generation.
Transmission and Distribution Lines
The power plants typically produce 50 cycle/second (Hertz), alternating-current (AC) electricity with voltages between 11kV and 33kV. At the power plant site, the 3-phase voltage is stepped up to a higher voltage for transmission on cables strung on cross-country towers.

High voltage (HV) and extra high voltage (EHV) transmission is the next stage from power plant to transport A.C. power over long distances at voltages like; 220 kV & 400 kV. Where transmission is over 1000 kM, high voltage direct current transmission is also favoured to minimize the losses.
Sub-transmission network at 132 kV, 110 kV, 66 kV or 33 kV constitutes the next link towards the end user. Distribution at 11 kV / 6.6 kV / 3.3 kV constitutes the last link to the consumer, who is connected directly or through transformers depending upon the drawl level of service. The transmission and distribution network include sub-stations, lines and distribution transformers. High voltage transmission is used so that smaller, more economical wire sizes can be employed to carry the lower current and to reduce losses. Sub-stations, containing step-down transformers, reduce the voltage for distribution to industrial users. The voltage is further reduced for commercial facilities. Electricity must be generated, as and when it is needed since electricity cannot be stored virtually in the system.
There is no difference between a transmission line and a distribution line except for the voltage level and power handling capability. Transmission lines are usually capable of transmitting large quantities of electric energy over great distances. They operate at high voltages. Distribution lines carry limited quantities of power over shorter distances.
Voltage drops in line are in relation to the resistance and reactance of line, length and the current drawn. For the same quantity of power handled, lower the voltage, higher the current drawn and higher the voltage drop. The current drawn is inversely proportional to the voltage level for the same quantity of power handled.
The power loss in line is proportional to resistance and square of current. (i.e. PLOSS=I2R). Higher voltage transmission and distribution thus would help to minimize line voltage drop in the ratio of voltages, and the line power loss in the ratio of square of voltages. For instance, if distribution of power is raised from 11 kV to 33 kV, the voltage drop would be lower by a factor 1/3 and the line loss would be lower by a factor (1/3)2 i.e., 1/9. Lower voltage transmission and distribution also calls for bigger size conductor on account of current handling capacity needed.
Cascade Efficiency
The primary function of transmission and distribution equipment is to transfer power economically and reliably from one location to another.
Conductors in the form of wires and cables strung on towers and poles carry the high voltage, AC electric current. A large number of copper or aluminum conductors are used to form the transmission path. The resistance of the long-distance transmission conductors is to be minimized. Energy loss in transmission lines is wasted in the form of I2R losses.
Capacitors are used to correct power factor by causing the current to lead the voltage. When the AC currents are kept in phase with the voltage, operating efficiency of the system is maintained at a high level.
Circuit-interrupting devices are switches, relays, circuit breakers, and fuses. Each of these devices is designed to carry and interrupt certain levels of current. Making and breaking the current carrying conductors in the transmission path with a minimum of arcing is one of the most important characteristics of this device. Relays sense abnormal voltages, currents, and frequency and operate to protect the system.
Transformers are placed at strategic locations throughout the system to minimize power losses in the T&D system. They are used to change the voltage level from low-to-high in step-up transformers and from high-to-low in step-down units.
The power source to end user energy efficiency link is a key factor, which influences the energy input at the source of supply. If we consider the electricity flow from generation to the user in terms of cascade energy efficiency, typical cascade efficiency profile from generation to 11 – 33 kV user industry will be as below:

The cascade efficiency in the T&D system from output of the power plant to the end use is 87% (i.e. 0.995 x 0.99 x 0.975 x 0.96 x 0.995 x 0.95 = 87%)
Industrial End User
At the industrial end user premises, again the plant network elements like transformers at receiving sub-station, switchgear, lines and cables, load-break switches, capacitors cause losses, which affect the input-received energy. However the losses in such systems are meager and unavoidable.
A typical plant single line diagram of electrical distribution system is shown in Figure 1.3

ONE Unit saved = TWO Units Generated
After power generation at the plant it is transmitted and distributed over a wide network. The standard technical losses are around 17 % in India (Efficiency = 83%). But the figures for many of the states show T & D losses ranging from 17 – 50 %. All these may not constitute technical losses, since un-metered and pilferage are also accounted in this loss.
When the power reaches the industry, it meets the transformer. The energy efficiency of the transformer is generally very high. Next, it goes to the motor through internal plant distribution network. A typical distribution network efficiency including transformer is 95% and motor efficiency is about 90%. Another 30 % (Efficiency =70%)is lost in the mechanical system which includes coupling/ drive train, a driven equipment such as pump and flow control valves/throttling etc. Thus the overall energy efficiency becomes 50%. (0.83 x 0.95x 0.9 x 0.70 = 0.50, i.e. 50% efficiency)
Hence one unit saved in the end user is equivalent to two units generated in the power plant. (1Unit / 0.5Eff = 2 Units)
1.2 Electricity Billing
The electricity billing by utilities for medium & large enterprises, in High Tension (HT) category, is often done on two-part tariff structure, i.e. one part for capacity (or demand) drawn and the second part for actual energy drawn during the billing cycle. Capacity or demand is in kVA (apparent power) or kW terms. The reactive energy (i.e.) kVArh drawn by the service is also recorded and billed for in some utilities, because this would affect the load on the utility. Accordingly, utility charges for maximum demand, active energy and reactive power drawn (as reflected by the power factor) in its billing structure. In addition, other fixed and variable expenses are also levied.
The tariff structure generally includes the following components:
a) Maximum demand Charges
These charges relate to maximum demand registered during month/billing period and corresponding rate of utility.
b) Energy Charges
These charges relate to energy (kilowatt hours) consumed during month / billing period and corresponding rates, often levied in slabs of use rates. Some utilities now charge on the basis of apparent energy (kVAh), which is a vector sum of kWh and kVArh.
c) Power factor penalty or bonus rates, as levied by most utilities, are to contain reactive power drawn from grid.
d) Fuel cost adjustment charges as levied by some utilities are to adjust the increasing fuel
expenses over a base reference value.
e) Electricity duty charges levied w.r.t units consumed.
f) Meter rentals
g) Lighting and fan power consumption is often at higher rates, levied sometimes on slab
basis or on actual metering basis.
h) Time Of Day (TOD) rates like peak and non-peak hours are also prevalent in tariff
structure provisions of some utilities.
i) Penalty for exceeding contract demand
j) Surcharge if metering is at LT side in some of the utilities
Analysis of utility bill data and monitoring its trends helps energy manager to identify ways for electricity bill reduction through available provisions in tariff framework, apart from energy budgeting.
The utility employs an electromagnetic or electronic trivector meter, for billing purposes. The minimum outputs from the electromagnetic meters are
• Maximum demand registered during the month, which is measured in preset time intervals (say of 30 minute duration) and this is reset at the end of every billing cycle.
• Active energy in kWh during billing cycle
• Reactive energy in kVArh during billing cycle and
• Apparent energy in kVAh during billing cycle
It is important to note that while maximum demand is recorded, it is not the instantaneous demand drawn, as is often misunderstood, but the time integrated demand over the predefined recording cycle.
As example, in an industry, if the drawl over a recording cycle of 30 minutes is :
2500 kVA for 4 minutes
3600 kVA for 12 minutes
4100 kVA for 6 minutes
3800 kVA for 8 minutes
The MD recorder will be computing MD as:
(2500 x 4) + (3600 x 12) + (4100 x 6) + (3800 x 8) / 30 = 3606.7 kVA
The month’s maximum demand will be the highest among such demand values recorded over the month. The meter registers only if the value exceeds the previous maximum demand value and thus, even if, average maximum demand is low, the industry / facility has to pay for the maximum demand charges for the highest value registered during the month, even if it occurs for just one recording cycle duration i.e., 30 minutes during whole of the month. A typical demand curve is shown in Figure 1.4.

As can be seen from the Figure 1.4 above the demand varies from time to time. The demand is measured over predetermined time interval and averaged out for that interval as shown by the horizontal dotted line.
Of late most electricity boards have changed over from conventional electromechanical trivector meters to electronic meters, which have some excellent provisions that can help the utility as well as the industry. These provisions include:
• Substantial memory for logging and recording all relevant events
• High accuracy up to 0.2 class
• Amenability to time of day tariffs
• Tamper detection /recording
• Measurement of harmonics and Total Harmonic Distortion (THD)
• Long service life due to absence of moving parts
• Amenability for remote data access/downloads
Trend analysis of purchased electricity and cost components can help the industry to identify key result areas for bill reduction within the utility tariff available framework along the following lines.
TABLE 1.1 PURCHASED ELECTRICAL ENERGY TREND

1.3 Electrical Load Management and Maximum Demand Control
Need for Electrical Load Management
In a macro perspective, the growth in the electricity use and diversity of end use segments in time of use has led to shortfalls in capacity to meet demand. As capacity addition is costly and only a long time prospect, better load management at user end helps to minimize peak demands on the utility infrastructure as well as better utilization of power plant capacities.
The utilities (State Electricity Boards) use power tariff structure to influence end user in better load management through measures like time of use tariffs, penalties on exceeding allowed maximum demand, night tariff concessions etc. Load management is a powerful means of efficiency improvement both for end user as well as utility.
As the demand charges constitute a considerable portion of the electricity bill, from user angle too there is a need for integrated load management to effectively control the maximum demand.
Step By Step Approach for Maximum Demand Control
1.Load Curve Generation
Presenting the load demand of a consumer against time of the day is known as a ‘load curve’. If it is plotted for the 24 hours of a single day, it is known as an ‘hourly load curve’ and if daily demands plotted over a month, it is called daily load curves. A typical hourly load curve for an engineering industry is shown in Figure 1.5. These types of curves are useful in predicting patterns of drawl, peaks and valleys and energy use trend in a section or in an industry or in a distribution network as the case may be.

(Daily Load Curve, Hourly kVA)
2.Rescheduling of Loads
Rescheduling of large electric loads and equipment operations, in different shifts can be planned and implemented to minimize the simultaneous maximum demand. For this purpose, it is advisable to prepare an operation flow chart and a process chart. Analyzing these charts and with an integrated approach, it would be possible to reschedule the operations and running equipment in such a way as to improve the load factor which in turn reduces the maximum demand.
3.Storage of Products/in process material/ process utilities like refrigeration
It is possible to reduce the maximum demand by building up storage capacity of products/ materials, water, chilled water / hot water, using electricity during off peak periods. Off peak hour operations also help to save energy due to favorable conditions such as lower ambient temperature etc.
Example: Ice bank system is used in milk & dairy industry. Ice is made in lean period and used in peak load period and thus maximum demand is reduced.
4.Shedding of Non-Essential Loads
When the maximum demand tends to reach preset limit, shedding some of non-essential loads temporarily can help to reduce it. It is possible to install direct demand monitoring systems, which will switch off non-essential loads when a preset demand is reached. Simple systems give an alarm, and the loads are shed manually. Sophisticated microprocessor controlled systems are also available, which provide a wide variety of control options like:
■ Accurate prediction of demand
■ Graphical display of present load, available load, demand limit
■ Visual and audible alarm
■ Automatic load shedding in a predetermined sequence
■ Automatic restoration of load
■ Recording and metering
5.Operation of Captive Generation and Diesel Generation Sets
When diesel generation sets are used to supplement the power supplied by the electric utilities, it is advisable to connect the D.G. sets for durations when demand reaches the peak value. This would reduce the load demand to a considerable extent and minimize the demand charges.
6.Reactive Power Compensation
The maximum demand can also be reduced at the plant level by using capacitor banks and maintaining the optimum power factor. Capacitor banks are available with microprocessor based control systems. These systems switch on and off the capacitor banks to maintain the desired Power factor of system and optimize maximum demand thereby.
1.4 Power Factor Improvement and Benefits
Power factor Basics
In all industrial electrical distribution systems, the major loads are resistive and inductive. Resistive loads are incandescent lighting and resistance heating. In case of pure resistive loads, the voltage (V), current (I), resistance (R) relations are linearly related, i.e.
V = I x R and Power (kW) = V x I
Typical inductive loads are A.C. Motors, induction furnaces, transformers and ballast-type lighting. Inductive loads require two kinds of power: a) active (or working) power to perform the work and b) reactive power to create and maintain electro-magnetic fields.
Active power is measured in kW (Kilo Watts). Reactive power is measured in kVAr (Kilo Volt-Amperes Reactive).
The vector sum of the active power and reactive power make up the total (or apparent) power used. This is the power generated by the SEBs for the user to perform a given amount of work. Total Power is measured in kVA (Kilo Volts-Amperes) (See Figure 1.6).

The active power (shaft power required or true power required) in kW and the reactive power required (kVAr) are 90° apart vectorically in a pure inductive circuit i.e., reactive power kVAr lagging the active kW. The vector sum of the two is called the apparent power or kVA, as illustrated above and the kVA reflects the actual electrical load on distribution system.
The ratio of kW to kVA is called the power factor, which is always less than or equal to unity. Theoretically, when electric utilities supply power, if all loads have unity power factor, maximum power can be transferred for the same distribution system capacity. However, as the loads are inductive in nature, with the power factor ranging from 0.2 to 0.9, the electrical distribution network is stressed for capacity at low power factors.
Improving Power Factor
The solution to improve the power factor is to add power factor correction capacitors (see Figure 1.7) to the plant power distribution system. They act as reactive power generators, and provide the needed reactive power to accomplish kW of work. This reduces the amount of reactive power, and thus total power, generated by the utilities.

Example:
Achemical industry had installed a 1500 kVAtransformer. The initial demand of the plant was 1160 kVA with power factor of 0.70. The % loading of transformer was about 78% (1160/1500 = 77.3%). To improve the power factor and to avoid the penalty, the unit had added about 410 kVAr in motor load end. This improved the power factor to 0.89, and reduced the required kVA to 913, which is the vector sum of kW and kVAr (see Figure 1.8).

After improvement the plant had avoided penalty and the 1500 kVA transformer now loaded only to 60% of capacity. This will allow the addition of more load in the future to be supplied by the transformer.
The advantages of PF improvement by capacitor addition
a) Reactive component of the network is reduced and so also the total current in the system from the source end.
b) I2R power losses are reduced in the system because of reduction in current.
c) Voltage level at the load end is increased.
d) kVA loading on the source generators as also on the transformers and lines upto the capacitors reduces giving capacity relief. A high power factor can help in utilising the full capacity of your electrical system.
Cost benefits of PF improvement
While costs of PF improvement are in terms of investment needs for capacitor addition the benefits to be quantified for feasibility analysis are:
a) Reduced kVA (Maximum demand) charges in utility bill
b) Reduced distribution losses (KWH) within the plant network
c) Better voltage at motor terminals and improved performance of motors
d) A high power factor eliminates penalty charges imposed when operating with a low power factor
e) Investment on system facilities such as transformers, cables, switchgears etc for delivering load is reduced.
Selection and location of capacitors
Direct relation for capacitor sizing.
kVAr Rating = kW [tan ϕ1 – tan ϕ2]
where kVAr rating is the size of the capacitor needed, kW is the average power drawn, tan ϕ1 is the trigonometric ratio for the present power factor, and tan ϕ2 is the trigonometric ratio for the desired PF
ϕ1 = Existing (Cos-1 PF1) and ϕ2 = Improved (Cos-1 PF2)
Alternatively the Table 1.2 can be used for capacitor sizing.
The figures given in table are the multiplication factors which are to be multiplied with the input power (kW) to give the kVAr of capacitance required to improve present power factor to a new desired power factor.
Example:
The utility bill shows an average power factor of 0.72 with an average KW of 627. How much kVAr is required to improve the power factor to .95 ?
Using formula
Cos ϕ1 = 0.72 , tan ϕ1 = 0.963
Cos ϕ2 = 0.95 , tan ϕ2 = 0.329
kVAr required = P ( tanϕ1 – tanϕ2 ) = 627 (0.964 – 0.329) = 398 kVAr
Using table (see Table 1.2)
1) Locate 0.72 (original power factor) in column (1).
2) Read across desired power factor to 0.95 column. We find 0.635 multiplier
3) Multiply 627 (average kW) by 0.635 = 398 kVAr.
4) Install 400 kVAr to improve power factor to 95%.
TABLE 1.2 MULTIPLIERS TO DETERMINE CAPACITOR kVAr REQUIREMENTS FOR POWER FACTOR CORRECTION

Location of Capacitors
The primary purpose of capacitors is to reduce the maximum demand. Additional benefits are derived by capacitor location. The Figure 1.9 indicates typical capacitor locations. Maximum benefit of capacitors is derived by locating them as close as possible to the load. At this location, its kVAr are confined to the smallest possible segment, decreasing the load current. This, in turn, will reduce power losses of the system substantially. Power losses are proportional to the square of the current. When power losses are reduced, voltage at the motor increases; thus, motor performance also increases.
Locations C1A, C1B and C1C of Figure 1.9 indicate three different arrangements at the load. Note that in all three locations extra switches are not required, since the capacitor is either switched with the motor starter or the breaker before the starter. Case C1A is recommended for new installation, since the maximum benefit is derived and the size of the motor thermal protector is reduced. In Case C1B, as in Case C1A, the capacitor is energized only when the motor is in operation. Case C1B is recommended in cases where the installation already exists and the thermal protector does not need to be re-sized. In position C1C, the capacitor is permanently connected to the circuit but does not require a separate switch, since capacitor can be disconnected by the breaker before the starter.

It should be noted that the rating of the capacitor should not be greater than the no-load magnetizing kVAr of the motor. If this condition exists, damaging over voltage or transient torques can occur. This is why most motor manufacturers specify maximum capacitor ratings to be applied to specific motors.
The next preference for capacitor locations as illustrated by Figure 1.9 is at locations C2 and C3. In these locations, a breaker or switch will be required. Location C4 requires a high voltage breaker. The advantage of locating capacitors at power centres or feeders is that they can be grouped together. When several motors are running intermittently, the capacitors are permitted to be on line all the time, reducing the total power regardless of load.
From energy efficiency point of view, capacitor location at receiving substation only helps the utility in loss reduction. Locating capacitors at tail end will help to reduce loss reduction within the plants distribution network as well and directly benefit the user by reduced consumption. Reduction in the distribution loss % in kWh when tail end power factor is raised from PF1 to a new power factor PF2, will be proportional to
[ 1 – (PF1 / PF2)2 ] x 100
Capacitors for Other Loads
The other types of load requiring capacitor application include induction furnaces, induction heaters and arc welding transformers etc. The capacitors are normally supplied with control gear for the application of induction furnaces and induction heating furnaces. The PF of arc furnaces experiences a wide variation over melting cycle as it changes from 0.7 at starting to 0.9 at the end of the cycle. Power factor for welding transformers is corrected by connecting capacitors across the primary winding of the transformers, as the normal PF would be in the range of 0.35.
Performance Assessment of Power Factor Capacitors
Voltage effects: Ideally capacitor voltage rating is to match the supply voltage. If the supply voltage is lower, the reactive kVAr produced will be the ratio V12 /V22 where V1 is the actual supply voltage, V2 is the rated voltage.
On the other hand, if the supply voltage exceeds rated voltage, the life of the capacitor is adversely affected.
Material of capacitors: Power factor capacitors are available in various types by dielectric material used as; paper/ polypropylene etc. The watt loss per kVAr as well as life vary with respect to the choice of the dielectric material and hence is a factor to be considered while selection.
Connections: Shunt capacitor connections are adopted for almost all industry/ end user applications, while series capacitors are adopted for voltage boosting in distribution networks.
Operational performance of capacitors: This can be made by monitoring capacitor charging current vis- a- vis the rated charging current. Capacity of fused elements can be replenished as per requirements. Portable analyzers can be used for measuring kVAr delivered as well as charging current. Capacitors consume 0.2 to 6.0 Watt per kVAr, which is negligible in comparison to benefits.
Some checks that need to be adopted in use of capacitors are :
i) Nameplates can be misleading with respect to ratings. It is good to check by charging currents.
ii) Capacitor boxes may contain only insulated compound and insulated terminals with no capacitor elements inside.
iii) Capacitors for single phase motor starting and those used for lighting circuits for voltage boost, are not power factor capacitor units and these cannot withstand power system conditions.
1.5 Transformers
A transformer can accept energy at one voltage and deliver it at another voltage. This permits electrical energy to be generated at relatively low voltages and transmitted at high voltages and low currents, thus reducing line losses and voltage drop (see Figure 1.10).
Transformers consist of two or more coils that are electrically insulated, but magnetically linked. The primary coil is connected to the power source and the secondary coil connects to the load. The turn’s ratio is the ratio between the number of turns on the secondary to the turns on the primary (See Figure 1.11).
The secondary voltage is equal to the primary voltage times the turn’s ratio. Ampere-turns are calculated by multiplying the current in the coil times the number of turns. Primary ampere-turns are equal to secondary ampere-turns. Voltage regulation of a transformer is the percent increase in voltage from full load to no load.

Types of Transformers
Transformers are classified as two categories: power transformers and distribution transformers.
Power transformers are used in transmission network of higher voltages, deployed for step up and step down transformer application (400 kV, 200 kV, 110 kV, 66 kV, 33kV)
Distribution transformers are used for lower voltage distribution networks as a means to end user connectivity. (11kV, 6.6 kV, 3.3 kV, 440V, 230V)

Rating of Transformer
Rating of the transformer is calculated based on the connected load and applying the diversity factor on the connected load, applicable to the particular industry and arrive at the kVA rating of the Transformer. Diversity factor is defined as the ratio of overall maximum demand of the plant to the sum of individual maximum demand of various equipment. Diversity factor varies from industry to industry and depends on various factors such as individual loads, load factor and future expansion needs of the plant. Diversity factor will always be less than one.
Location of Transformer
Location of the transformer is very important as far as distribution loss is concerned. Transformer receives HT voltage from the grid and steps it down to the required voltage. Transformers should be placed close to the load centre, considering other features like optimisation needs for centralised control, operational flexibility etc. This will bring down the distribution loss in cables.
Transformer Losses and Efficiency
The efficiency varies anywhere between 96 to 99 percent. The efficiency of the transformers not only depends on the design, but also, on the effective operating load.
Transformer losses consist of two parts: No-load loss and Load loss
1.No-load loss (also called core loss) is the power consumed to sustain the magnetic field in the transformer’s steel core. Core loss occurs whenever the transformer is energized; core loss does not vary with load. Core losses are caused by two factors: hysteresis and eddy current losses. Hysteresis loss is that energy lost by reversing the magnetic field in the core as the magnetizing AC rises and falls and reverses direction. Eddy current loss is a result of induced currents circulating in the core.
2.Load loss (also called copper loss) is associated with full-load current flow in the transformer windings. Copper loss is power lost in the primary and secondary windings of a transformer due to the ohmic resistance of the windings. Copper loss varies with the square of the load current. (P = I2R).
Transformer losses as a percentage of load is given in the Figure 1.12.

For a given transformer, the manufacturer can supply values for no-load loss, PNO-LOAD, and load loss, PLOAD. The total transformer loss, PTOTAL, at any load level can then be calculated from:
PTOTAL = PNO-LOAD + (% Load/100)2 x PLOAD
Where transformer loading is known, the actual transformers loss at given load can be computed as:
= No load loss + (kVA Load / Rated kVA)2 x (full load loss)
Voltage Fluctuation Control
A control of voltage in a transformer is important due to frequent changes in supply voltage level. Whenever the supply voltage is less than the optimal value, there is a chance of nuisance tripping of voltage sensitive devices. The voltage regulation in transformers is done by altering the voltage transformation ratio with the help of tapping. There are two methods of tap changing facility available: Off-circuit tap changer and On-load tap changer.
Off-circuit tap changer
It is a device fitted in the transformer, which is used to vary the voltage transformation ratio. Here the voltage levels can be varied only after isolating the primary voltage of the transformer.
On load tap changer (OLTC)
The voltage levels can be varied without isolating the connected load to the transformer. To minimise the magnetisation losses and to reduce the nuisance tripping of the plant, the main transformer (the transformer that receives supply from the grid) should be provided with On Load Tap Changing facility at design stage. The down stream distribution transformers can be provided with off-circuit tap changer.
The On-load gear can be put in auto mode or manually depending on the requirement. OLTC can be arranged for transformers of size 250 kVA onwards. However, the necessity of OLTC below 1000 kVA can be considered after calculating the cost economics.
Parallel Operation of Transformers
The design of Power Control Centre (PCC) and Motor Control Centre (MCC) of any new plant should have the provision of operating two or more transformers in parallel. Additional switchgears and bus couplers should be provided at design stage.
Whenever two transformers are operating in parallel, both should be technically identical in all aspects and more importantly should have the same impedance level. This will minimise the circulating current between transformers.
Where the load is fluctuating in nature, it is preferable to have more than one transformer running in parallel, so that the load can be optimised by sharing the load between transformers. The transformers can be operated close to the maximum efficiency range by this operation.
1.6 System Distribution Losses
In an electrical system often the constant no load losses and the variable load losses are to be assessed alongside, over long reference duration, towards energy loss estimation.
Identifying and calculating the sum of the individual contributing loss components is a challenging one, requiring extensive experience and knowledge of all the factors impacting the operating efficiencies of each of these components.
For example the cable losses in any industrial plant will be up to 6 percent depending on the size and complexity of the distribution system. Note that all of these are current dependent, and can be readily mitigated by any technique that reduces facility current load. Various losses in distribution equipment is given in the Table1.3.
In system distribution loss optimization, the various options available include:
■ Relocating transformers and sub-stations near to load centers
■ Re-routing and re-conductoring such feeders and lines where the losses / voltage drops are higher.
■ Power factor improvement by incorporating capacitors at load end.
■ Optimum loading of transformers in the system.
■Opting for lower resistance All Aluminum Alloy Conductors (AAAC) in place of conventional Aluminum Cored Steel Reinforced (ACSR) lines
■Minimizing losses due to weak links in distribution network such as jumpers, loose contacts, old brittle conductors.
TABLE 1.3 LOSSES IN ELECTRICAL DISTRIBUTION EQUIPMENT

1.7 Harmonics
In any alternating current network, flow of current depends upon the voltage applied and the impedance (resistance to AC) provided by elements like resistances, reactances of inductive and capacitive nature. As the value of impedance in above devices is constant, they are called linear whereby the voltage and current relation is of linear nature.
However in real life situation, various devices like diodes, silicon controlled rectifiers, PWM systems, thyristors, voltage & current chopping saturated core reactors, induction & arc furnaces are also deployed for various requirements and due to their varying impedance characteristic, these NON LINEAR devices cause distortion in voltage and current waveforms which is of increasing concern in recent times. Harmonics occurs as spikes at intervals which are multiples of the mains (supply) frequency and these distort the pure sine wave form of the supply voltage & current.
Harmonics are multiples of the fundamental frequency of an electrical power system. If, for example, the fundamental frequency is 50 Hz, then the 5th harmonic is five times that frequency, or 250 Hz. Likewise, the 7th harmonic is seven times the fundamental or 350 Hz, and so on for higher order harmonics.
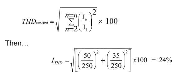
Harmonics can be discussed in terms of current or voltage. A 5th harmonic current is simply a current flowing at 250 Hz on a 50 Hz system. The 5th harmonic current flowing through the system impedance creates a 5th harmonic voltage. Total Harmonic Distortion (THD) expresses the amount of harmonics. The following is the formula for calculating the THD for current:

When harmonic currents flow in a power system, they are known as “poor power quality” or “dirty power”. Other causes of poor power quality include transients such as voltage spikes, surges, sags, and ringing. Because they repeat every cycle, harmonics are regarded as a steady-state cause of poor power quality.
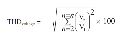
When expressed as a percentage of fundamental voltage THD is given by,

where V1 is the fundamental frequency voltage and Vn is nth harmonic voltage component.
Major Causes Of Harmonics
Devices that draw non-sinusoidal currents when a sinusoidal voltage is applied create harmonics. Frequently these are devices that convert AC to DC. Some of these devices are listed below:
Electronic Switching Power Converters
• Computers, Uninterruptible power supplies (UPS), Solid-state rectifiers
• Electronic process control equipment, PLC’s, etc
• Electronic lighting ballasts, including light dimmer
• Reduced voltage motor controllers
Arcing Devices
• Discharge lighting, e.g. Fluorescent, Sodium and Mercury vapor
• Arc furnaces, Welding equipment, Electrical traction system
Ferromagnetic Devices
• Transformers operating near saturation level
• Magnetic ballasts (Saturated Iron core)
• Induction heating equipment, Chokes, Motors
Appliances
• TV sets, air conditioners, washing machines, microwave ovens
• Fax machines, photocopiers, printers
These devices use power electronics like SCRs, diodes, and thyristors, which are a growing percentage of the load in industrial power systems. The majority use a 6-pulse converter. Most loads which produce harmonics, do so as a steady-state phenomenon. A snapshot reading of an operating load that is suspected to be non-linear can determine if it is producing harmonics. Normally each load would manifest a specific harmonic spectrum.
Many problems can arise from harmonic currents in a power system. Some problems are easy to detect; others exist and persist because harmonics are not suspected. Higher RMS current and voltage in the system are caused by harmonic currents, which can result in any of the problems listed below:
- Blinking of Incandescent Lights – Transformer Saturation
- Capacitor Failure – Harmonic Resonance
- Circuit Breakers Tripping – Inductive Heating and Overload
- Conductor Failure – Inductive Heating
- Electronic Equipment Shutting down – Voltage Distortion
- Flickering of Fluorescent Lights – Transformer Saturation
- Fuses Blowing for No Apparent Reason – Inductive Heating and Overload
- Motor Failures (overheating) – Voltage Drop
- Neutral Conductor and Terminal Failures – Additive Triplen Currents
- Electromagnetic Load Failures – Inductive Heating
- Overheating of Metal Enclosures – Inductive Heating
- Power Interference on Voice Communication – Harmonic Noise
- Transformer Failures – Inductive Heating
Overcoming Harmonics
Tuned Harmonic filters consisting of a capacitor bank and reactor in series are designed and adopted for suppressing harmonics, by providing low impedance path for harmonic component.
The Harmonic filters connected suitably near the equipment generating harmonics help to reduce THD to acceptable limits. In present Indian context where no Electro Magnetic Compatibility regulations exist as a application of Harmonic filters is very relevant for industries having diesel power generation sets and co-generation units.
1.8 Analysis of Electrical Power Systems
An analysis of an electrical power system may uncover energy waste, fire hazards, and equipment failure. Facility /energy managers increasingly find that reliability-centered maintenance can save money, energy, and downtime (see Table 1.4).
TABLE 1.4 TROUBLE SHOOTING OF ELECTRICAL POWER SYSTEMS

REFERENCES
1.Technology Menu on Energy Efficiency – NPC
2.NPC In-house Case Studies
3.Electrical energy conservation modules of AIP-NPC, Chennai