Published by Electrical Installation Wiki, Chapter M. Power harmonics management – Main effects of harmonics in electrical installations
Effects of harmonics – Resonance
The simultaneous use of capacitive and inductive devices in distribution networks may result in parallel or series resonance.
The origin of the resonance is the very high or very low impedance values at the busbar level, at different frequencies. The variations in impedance modify the current and voltage in the distribution network.
Here, only parallel resonance phenomena, the most common, will be discussed.
Consider the following simplified diagram (see Fig. M14) representing an installation made up of:
• A supply transformer,
• Linear loads
• Non-linear loads drawing harmonic currents
• Power factor correction capacitors

For harmonic analysis, the equivalent diagram is shown on Figure M15 where:
Ls = Supply inductance (upstream network + transformer + line)
C = Capacitance of the power factor correction capacitors
R = Resistance of the linear loads
Ih = Harmonic current

By neglecting R, the impedance Z is calculated by a simplified formula:

with: ω = pulsation of harmonic currents
Resonance occurs when the denominator (1-LSCω2) tends toward zero. The corresponding frequency is called the resonance frequency of the circuit. At that frequency, impedance is at its maximum and high amounts of harmonic voltages appear because of the circulation of harmonic currents. This results in major voltage distortion. The voltage distortion is accompanied, in the LS+C circuit, by the flow of harmonic currents greater than those drawn by the loads, as illustrated on Figure M16.
The distribution network and the power factor correction capacitors are subjected to high harmonic currents and the resulting risk of overloads. To avoid resonance, antihamonic reactors can be installed in series with the capacitors.

Effects of harmonics – Increased losses
Losses in conductors
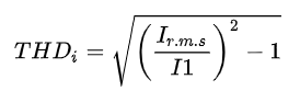
The active power transmitted to a load is a function of the fundamental component I1 of the current.
When the current drawn by the load contains harmonics, the rms value of the current, Ir.m.s, is greater than the fundamental I1

The definition of THDi being:

it may be deduced that :

Figure M18 shows, as a function of the harmonic distortion:
• The increase in the r.m.s. current Ir.m.s. for a load drawing a given fundamental current
• The increase in Joule losses, not taking into account the skin effect. (The reference point in the graph is 1 for Ir.m.s. and Joules losses, the case when there are no harmonics)
The harmonic currents cause an increase of the Joule losses in all conductors in which they flow and additional temperature rise in transformers, switchgear, cables, etc.

Losses in asynchronous machines
The harmonic voltages (order h) supplied to asynchronous machines cause the flow of currents in the rotor with frequencies higher than 50 Hz that are the origin of additional losses.
Orders of magnitude
• A virtually rectangular supply voltage causes a 20% increase in losses
• A supply voltage with harmonics u5 = 8% (of U1, the fundamental voltage),
u7 = 5%, u11 = 3%, u13 = 1%, i.e. total harmonic distortion THDu equal to 10%, results in additional losses of 6%
Losses in transformers
Harmonic currents flowing in transformers cause an increase in the “copper” losses due to the Joule effect and increased “iron” losses due to eddy currents. The harmonic voltages are responsible for “iron” losses due to hysteresis.
It is generally considered that losses in windings increase as the square of the THDi and that core losses increase linearly with the THDu.
In Utility distribution transformers, where distortion levels are limited, losses increase between 10 and 15%.
Losses in capacitors
The harmonic voltages applied to capacitors cause the flow of currents proportional to the frequency of the harmonics. These currents cause additional losses.
Example
A supply voltage has the following harmonics:
• Fundamental voltage U1 ,
• harmonic voltages u5 = 8% (of U1),
• u7 = 5%,
• u11 = 3%,
• u13 = 1%,
i.e. total harmonic distortion THDu equal to 10%. The amperage of the current is multiplied by 1.19. Joule losses are multiplied by (1.19)2, i.e. 1.4.
Effects of harmonics – Overload of equipment
Generators
Generators supplying non-linear loads must be derated due to the additional losses caused by harmonic currents.
The level of derating is approximately 10% for a generator where the overall load is made up of 30% of non-linear loads. It is therefore necessary to oversize the generator, in order to supply the same active power to loads
Uninterruptible power systems (UPS)
The current drawn by computer systems has a very high crest factor. A UPS sized taking into account exclusively the r.m.s. current may not be capable of supplying the necessary peak current and may be overloaded.
Transformers
• The curve presented below (see Fig. M19) shows the typical derating required for a transformer supplying electronic loads

Example: If the transformer supplies an overall load comprising 40% of electronic loads, it must be derated by 40%.
• Standard UTE C15-112 provides a derating factor for transformers as a function of the harmonic currents.

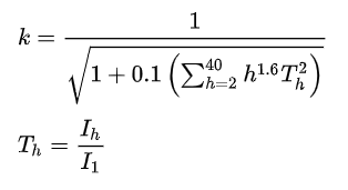
Asynchronous machines
Standard IEC60034-1 (“Rotating electrical machines – Rating and performance “) defines a weighted harmonic factor (Harmonic voltage factor) for which the equation and maximum value are provided below.

Example
A supply voltage has a fundamental voltage U1 and harmonic voltages u3= 2% of U1, U5, = 3%, U7, = 1%. The THDu is 3.7% and the HVF is 0.018. The HVF value is very close to the maximum value above which the machine must be derated.
Practically speaking, asynchronous machines must be supplied with a voltage having a THDu not exceeding 10%.
Capacitors
According to IEC 60831-1 standard (“Shunt power capacitors of the self-healing type for a.c. systems having a rated voltage up to and including 1 000 V – Part 1: General – Performance, testing and rating – Safety requirements – Guide for installation”), the r.m.s. current flowing in the capacitors must not exceed 1.3 times the rated current.
Using the example mentioned above, the fundamental voltage U1, harmonic voltages u5 = 8% (of U1), U7 = 5%, U11 = 3%, U13, = 1%, i.e. total harmonic distortion THDu equal to 10%, the result is
Ir.m.s./I1 = 1.19, at the rated voltage. For a voltage equal to 1.1 times the rated voltage,the current limit
Ir.m.s./I1 = 1.3 is reached and it is necessary to resize the capacitors.
Neutral conductors
Consider a system made up of a balanced three-phase source and three identical single-phase loads connected between the phases and the neutral (see Fig. M20).

Figure M21 shows an example of the currents flowing in the three phases and the resulting current in the neutral conductor.
In this example, the current in the neutral conductor has a rms value that is higher than the rms value of the current in a phase by a factor equal to the square root of 3.
The neutral conductor must therefore be sized accordingly.

The current in the neutral may therefore exceed the current in each phase in installation such as those with a large number of single-phase devices (IT equipment, fluorescent lighting). This is the case in office buildings, computer centers, Internet Data Centers, call centers, banks, shopping centers, retail lighting zones, etc.
This is not a general situation, due to the fact that power is being supplied simultaneously to linear and/or three-phase loads (heating, ventilation, incandescent lighting, etc.), which do not generate third order harmonic currents. However, particular care must be taken when dimensioning the cross-sectional areas of neutral conductors when designing new installations or when modifying them in the event of a change in the loads being supplied with power.
A simplified approach can be used to estimate the loading of the neutral conductor.
For balanced loads, the current in the neutral IN is very close to 3 times the 3rd harmonic current of the phase current (I3), i.e.: IN ≈ 3.I3
This can be expressed as: IN ≈ 3. i3 . I1
For low distortion factor values, the r.m.s. value of the current is similar to the r.m.s. value of the fundamental, therefore: IN ≈ 3 . i3 IL
And: IN /IL ≈ 3 . i3 (%)
This equation simply links the overloading of the neutral (IN /IL) to the third harmonic current ratio.
In particular, it shows that when this ratio reaches 33%, the current in the neutral conductor is equal to the current in the phases. Whatever the distortion value, it has been possible to use simulations to obtain a more precise law, which is illustrated in Figure M22

The third harmonic ratio has an impact on the current in the neutral and therefore on the capacity of all components in an installation:
• Distribution panels
• Protection and distribution devices
• Cables and trunking systems
According to the estimated third harmonic ratio, there are three possible scenarios: ratio below 15%, between 15 and 33% or above 33%.
Third harmonic ratio below 15% (i3 ≤ 15%):
The neutral conductor is considered not to be carrying current. The cross-sectional area of the phase conductors is determined solely by the current in the phases. The cross-sectional area of the neutral conductor may be smaller than the cross-sectional area of the phases if the cross sectional area is greater than 16 mm2 (copper) or 25 mm2 (aluminum).
Protection of the neutral is not obligatory, unless its cross-sectional area is smaller than that of the phases.
Third harmonic ratio between 15 and 33% (15 < i3 ≤ 33%), or in the absence of any information about harmonic ratios:
The neutral conductor is considered to be carrying current.
The operating current of the multi-pole trunking must be reduced by a factor of 0.84 (or, conversely, select trunking with an operating current equal to the current calculated, divided by 0.84).
The cross-sectional area of the neutral MUST be equal to the cross-sectional area of the phases.
Protection of the neutral is not necessary.
Third harmonic ratio greater than 33% (i3 > 33%)
This rare case represents a particularly high harmonic ratio, generating the circulation of a current in the neutral, which is greater than the current in the phases.
Precautions therefore have to be taken when dimensioning the neutral conductor.
Generally, the operating current of the phase conductors must be reduced by a factor of 0.84 (or, conversely, select trunking with an operating current equal to the current calculated, divided by 0.84). In addition, the operating current of the neutral conductor must be equal to 1.45 times the operating current of the phase conductors (i.e. 1.45/0.84 times the phase current calculated, therefore approximately 1.73 times the phase current calculated).
The recommended method is to use multi-pole trunking in which the cross-sectional area of the neutral is equal to the cross-sectional area of the phases. The current in the neutral conductor is therefore a key factor in determining the cross sectional area of the conductors. Protection of the neutral is not necessary, although it should be protected if there is any doubt in terms of the loading of the neutral conductor.
This approach is common in final distribution, where multi-pole cables have identical cross sectional areas for the phases and for neutral.
With busbar trunking systems, precise knowledge of the temperature rises caused by harmonic currents enables a less conservative approach to be adopted. The rating of a busbar trunking system can be selected directly as a function of the neutral current calculated.
For more details, see:
• Harmonic currents in the selection of busbar trunking systems (busways)
• Cahier Technique ECT212: “The neutral: A live and unique conductor“
Effects of harmonics – Disturbances affecting sensitive loads
Effects of distortion in the supply voltage
Distortion of the supply voltage can disturb the operation of sensitive devices:
• Regulation devices (temperature)
• Computer hardware
• Control and monitoring devices (protection relays)
Distortion of telephone signals
Harmonics cause disturbances in control circuits (low current levels). The level of distortion depends on the distance that the power and control cables run in parallel, the distance between the cables and the frequency of the harmonics.
Effects of harmonics – Economic impact
Energy losses
Harmonics cause additional losses (Joule effect) in conductors and equipment.
Higher subscription costs
The presence of harmonic currents can require a higher subscribed power level and consequently higher costs. What is more, Utilities will be increasingly inclined to charge customers for major sources of harmonics.
Oversizing of equipment
• Derating of power sources (generators, transformers and UPSs) means they must be oversized
• Conductors must be sized taking into account the flow of harmonic currents. In addition, due the skin effect, the resistance of these conductors increases with frequency. To avoid excessive losses due to the Joule effect, it is necessary to oversize conductors
• Flow of harmonics in the neutral conductor means that it must be oversized as well
Reduced service life of equipment
When the level of distortion THDu of the supply voltage reaches 10%, the duration of service life of equipment is significantly reduced. The reduction has been estimated at:
• 32.5% for single-phase machines
• 18% for three-phase machines
• 5% for transformers
To maintain the service lives corresponding to the rated load, equipment must be oversized.
Nuisance tripping and installation shutdown
Circuit-breakers in the installation are subjected to current peaks caused by harmonics. These current peaks may cause nuisance tripping of old technology units, with the resulting production losses, as well as the costs corresponding to the time required to start the installation up again.
Examples
Given the economic consequences for the installations mentioned below, it was necessary to install harmonic filters.
Computer centre for an insurance company
In this centre, nuisance tripping of a circuit-breaker was calculated to have cost 100 k€ per hour of down time.
Pharmaceutical laboratory
Harmonics caused the failure of a generator set and the interruption of a long duration test on a new medication. The consequences were a loss estimated at 17 M€.
Metallurgy factory
A set of induction furnaces caused the overload and destruction of three transformers ranging from 1500 to 2500 kVA over a single year. The cost of the interruptions in production were estimated at 20 k€ per hour.
Factory producing garden furniture
The failure of variable-speed drives resulted in production shutdowns estimated at 10 k€ per hour.
Source URL: https://www.electrical-installation.org/enwiki/Main_effects_of_harmonics_in_electrical_installations