Published by Vladimir Kraz, 3M Company, 3601-A Caldwell Dr., Soquel, CA 95073, Tel. 408-202-9454 FAX 206-350-7458 Email: vladimir.kraz@gmail.com
Abstract
EOS (Electric Overstress) is a serious threat to defect-free manufacturing, long-term product reliability and interruption-free manufacturing process. This paper summarizes the sources of EOS, its impact on production and suggests classification of EOS occurrences into models in a similar fashion to ESD Events.
Introduction
EOS, or Electric Overstress, in general is an occurrence of overvoltage or overcurrent to a device. EOS in its broadest definition includes electrostatic discharges, or ESD Events. However, more narrow and more widely used definition of EOS limits overvoltage and overcurrent occurrences to differentiate it from ESD Events. There are several important properties that separate EOS and ESD occurrences:
Table 1. Comparison between ESD and EOS Events
| ESD Event | EOS Event |
|---|---|
| ESD Event is caused by a rapid discharge of accumulated electrical charge. Once this accumulated charge is consumed, ESD Event can no longer manifest itself. | EOS Event is caused by voltage and/or currents associated with operation of equipment or with power generating equipment |
| ESD Event lasts typically nanoseconds – the time necessary to dissipate accumulated charges | EOS Event can last as long as the originating signal exists. There is no inherent limitation on its duration |
| SD Event is characterized by a specific waveform. While the waveforms of different models of ESD Events (CDM, HBM, MM and others) certainly differ in appearance, in general their properties include rapid rising edge (within few nanoseconds) and an asymptotic rear edge lasting typically less than 100nS | EOS Event can technically have any physically possible waveform – the sources of EOS are often unpredictable. There are some major categories, however, which would be described further in the text |
| ESD Events are nonperiodic and non-repeatable – accumulation of charges cannot be guaranteed or accurately predicted | EOS Events are often (not always) periodic and repeatable |
Effect of EOS on Devices
The effects on the device from an ESD Event and an EOS Event can be quite different. At a risk of oversimplification, an ESD Event could be compared with emptying a cup of water on a floor. There is a resulting small puddle, but once the content of a cup (i.e. charge) is gone, there is no more water coming and the water damage is thus limited. An EOS event could be compared with an open faucet. However little water it may drip in comparison with the sudden flow of water from the cup, with time this trickle may flood the entire floor and cause significant damage. Duration of a typical ESD Event is several magnitudes less than duration of most EOS Events, therefore this comparison “holds water.”
A most typical semiconductor device can be damaged by an ESD Event of magnitude of anywhere from 100V to 250V CDM (of course, the overall damage level is much wider). EOS-induced damage, however, occurs at much lower levels. IPC-A-610 and IPC-7711, the standards used by PCB Assembly plants to control quality of electronic assemblies, recommend that the EOS levels should be kept below 0.5V and in the case of sensitive assemblies – below 0.3V (IPC-A-610 Acceptability of Electronic Assemblies)1. Why there is such discrepancy in damage voltage levels? This has to do with the waveforms of the exposure, not just with the absolute EOS voltage levels. Similar discrepancy exists between different ESD discharge models – the same device may be damaged by 2000V HBM model, while being sensitive only to 100V CDM model discharge.
According to 2, one of the mechanisms of damage due to EOS is thermal runaway from Joule heating (excessive current). This is also systemic to ESD Events as well. While overheating due to ESD requires significant current injection over very short period of time, to achieve similar effect a smaller current that would last significantly longer would suffice. An ESD Event that lasts a few nanoseconds may generate similar amount of heat as a much smaller EOS Event that would last thousands or even millions times longer – microseconds or milliseconds.
To the author’s knowledge, at the present there is no established correlation yet available between the levels of damage due to ESD and the ones due to EOS. This paper recommends that such relationship is examined by the experts in the industry and, if possible, a correlation is established for the benefits of the industry.
Other Effects of EOS
Besides direct damage to the devices, undesirable voltage in tools may affect tools’ normal operation, extending from erratic operation and tool’s lock-up to altering test results during IC test and board test. Especially, high-frequency noise can be a significant contributor to parametric errors for low-voltage devices and circuits. This paper (EMI Issues in the Manufacturing Environment)3 outlines possible consequences of excessive noise in the environment.
Types of EOS in Manufacturing Environment
There is a large variety of types of EOS occurrences in a typical production environment. This paper outlines the most common types and provides brief description of their properties and their most likely origins.
Mains-Caused EOS (AC 50/60Hz) Voltage Induction
Since most of equipment operates on power from mains, it is not surprising that mains’ artifacts can be present in some tools. Poor wiring schemes, lack of adequate grounding and ground loops are all contributors to that. Yan and Gaertner4 show AC voltages up to 2.3V in wire bonding tools. The data from this paper clearly shows the strong relationship between ground impedance and the AC voltage – the higher the ground impedance, the higher the resulting AC voltage. Several questions arise: how did this voltage end up there and whether this voltage offers any danger to the components given that the impedance is high enough to be perceived to limit resulting current to just few microamperes.
Figure 1 shows one way how AC voltage can be induced into the tool. A source of AC voltage VAC which can be any object that is connected to the mains, or simply the wire carrying mains voltage, is coupled via capacitive coupling or some resistive leakage to the point of our interest VB. For capacitive coupling the source and the target simply have to be reasonably close to each other and have sufficient mutual surface areas to form a capacitor. Resistive coupling is simply parasitic leakage via imperfect insulation. RL is connection of the part of the tool of interest to us to ground.
Not trying to complicate this paper with formulae, it should be obvious to the reader that the smaller the ground impedance RL, the smaller voltage VB would be observed. This confirms the paramount need to keep ground impedance the lowest possible. It should be noted that it is nearly impossible to determine with finality all the leakage paths in real-life situations, so any calculations would result only in estimates.

Figure 1. Induction of AC Voltage
Neutral/Ground Reversal
It is an unfortunate occurrence when neutral and ground wires in the tool or in the outlet itself are reversed. In author’s experience this happens even in the best-run facilities anywhere in the world. To complicate the matters, conventional testers such as ubiquitous three-light checker obtainable from hardware stores cannot test for this situation.

Figure 2. Live and Neutral
As seen in Figure 2, every wire has finite impedance, therefore the voltage on the end of the load connected to neutral wire is not zero. The higher the current consumption and the smaller the gage of the wire, the higher the voltage on the neutral end of the load. If the neutral end of the load is connected to ground wire by mistake, then the ground at that point would be under voltage. In such scheme, the ground end of the power cable is then connected to the neutral at the power outlet further adding to the problem and complicating the situation. Since the current consumption in most tools is seldom continuous – it peaks whenever a motor or other actuator starts – the parasitic EOS voltage on ground may be present only during these times, further complicating diagnosis.

Figure 3. DC Current Return Via Chassis
Current Induction
Strong currents, would they be in wires connected to the motors and other current consumers in the tool or within the motors, heaters and other devices, generate magnetic fields which, in turn can produce currents and voltages in largely accidental loops within the same tools. These currents and voltages are more difficult to analyze since engineers and technicians who service the tools seldom use magnetic field sensors for the mains frequencies, however such tools are widely available and are recommended to use in conjunction with time-domain instruments, such as an oscilloscope. Conventional magnetic field meters may not be fast enough to register transient currents on start-up.
DC-Caused EOS
Many tools utilize a number of DC-powered motors (including stepper motors), solenoids, electronic circuits and other current consumers. In many cases one of the power terminals (mostly the negative one) is grounded and the ground ends up being the return path for the current. No matter how large the cross-section of the tool chassis is, its resistance is not zero. Low-voltage DC motors and alike can consume significant current, especially during start-ups. Figure 3 depicts a typical situation. A negative terminal of DC power supply is normally grounded to a chassis and the return current from motor as shown is done via the chassis as well. Chassis resistance is finite, therefore there will be a difference in potentials between the point of connection of the motor and “real” ground. If a device resting on such chassis comes in contact with the properly-grounded object, it will be subjected to this potential differential resulting in EOS.
High-Frequency Noise (EMI)
This subject was covered in details in 5. To summarize, high-frequency signals are usually parasitic in nature (exception to that is outlined below) and are result of transient signals generated by operation of such equipment as stepper and variable-frequency motors, solenoids, relays and alike. The higher the power consumption of such device, the stronger the EMI signal. Figure 4 shows typical signal on ground generated by EMI. As seen, it is anything but continuous waveform. When assessing EMI signals for possibility of EOS, it is imperative that the instruments with ability to capture the peak signal are used. In author’s experience, it is not uncommon to encounter spikes of up to 20V on ground and in power lines.
There are cases, however, when the predominant signal in cables and wires is continuous waveform. This occurs in places where RFID is used to keep track of products in process. Passive RFID tags require strong magnetic field to power them up which results in strong induced signals into anything resembling a conductive loop, which is not difficult to find in production tools. Resulting voltage at frequencies typically 13.56MHz then propagates through wires throughout the facility.

Figure 4. Typical EMI Waveform on Ground
Ground Bounce

Figure 5. Ground Bounce
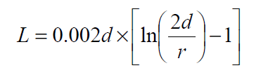
This phenomenon deserves special considerations for high frequency signals. Though mostly attributed to ICs and PCB layout issues, ground bounce is a significant factor for the factory-scale signals. This paper by Phil King, Agilent Technologies6 provides adequate background of the phenomenon of ground bounce. In short, when ground wire has substantial impedance at high frequencies, current passing through this wire from noise generating equipment to ground produces voltage across this wire thus floating what was supposed to be ground of the tool – see Figure 5. According to calculations in this paper 7 (V. Kraz, P. Gagnon, How Good is Your Ground) this voltage may reach several volts. The example below shows the case of long grounding wire. Inductance of a straight wire at high frequencies can be calculated as

where
L – inductance in mH
r – radius wire, cm
d – length of wire, cm
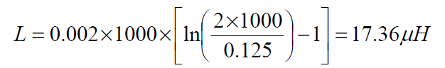
A common 10m (30 feet) ground run of 12 gage solid wire has self-inductance at high frequencies of

A 1-mA current at 100 MHz would create a voltage on this length of wire of
V = 2π x 100 x 106 x 17.36 x 10-6 x 0.001 = 10.9 V
This should trigger considerations for proper grounding scheme.
Sources of EOS in Production
Now that we discussed what phenomenon can cause EOS exposure, let’s examine some of the practical sources of EOS in real-life production environment and match them to the physical phenomenon which is manifested in each case. Only very few of such sources are outlined in this paper due to limitation of the scope.
Soldering Irons
The tip of soldering iron touches the most sensitive electric components, therefore it is under the most scrutiny for EOS exposure. Some standards (MIL-STD-2000) require the tip of soldering iron to produce no more than 2mV of signal, which is quite unrealistic in most environments. Papers such as this one8 were written on the subject. Lets take a look why would a tip of soldering iron have voltage to begin with.
Bad Grounding Loss of Ground
If a soldering iron loses ground, the tip of the iron can have any voltage up to ½ of the supply voltage to the iron. The voltage due to ground loss is usually AC 50/60 Hz. DC voltage on the tip would be contributed to other phenomena, usually caused by defective power supply in the iron itself. In the very best case the voltage at the tip of the iron due to loss of ground would be equal to voltage on neutral which, as discussed before, is not zero and is typically several volts of AC. Loss of ground can occur within soldering irons themselves or in power outlets. Raytheon9 reported in 2005 massive failure of ground in
power outlets which led to EOS and resulting damage in sensitive circuit. Reversal of ground and neutral also leads to excessive voltage at the tip.
Noise on Ground
Whatever signal is present on ground, it will be present on tip of the iron. Noise on ground can be quite high as it was discussed before. When the voltage on the tip is measured with a multimeter or an off-the-shelf iron checker, it will easily miss high-frequency signals and especially spikes that are so typical in the production environment. It is imperative to be able to measure voltage with instruments that are capable of measuring high-frequency spikes. A high-speed digital oscilloscope or a dedicated meter with high-frequency capabilities should be used.
Noise on Power Line
Noise is propagated not only via ground but via power lines as well. Transformers and power supplies converting mains voltage to 24V or alike are usually transparent to high-frequency spikes which end up on the soldering iron tip. The effect is similar to being caused by noise on ground and the signal should be measured in similar fashion as above. Power line filters can help to reduce this noise.
Switching Spikes
It is rumored, but not yet confirmed, that switching of the heater during temperature control may generate spikes similar to the ones from other sources. No evidence to this
or contrary to this was yet collected and the readers are encouraged to experiment in order to either confirm or discard this speculation. Keeping in mind that such signals would be transient in nature, instruments capable of capturing such signals should be used.
Tip Oxidation
Signal on the tip can be induced by capacitive coupling from AC voltage sources from the heater element. Normally, if the tip is well-grounded, the induced voltage on it would be too negligible to measure. However, if the tip of the iron is oxidized and the contact with ground is lost, the tip may have some voltage on it depending on the construction of the iron and heating element.
Power Tools
Such power tools as electric screwdrivers commonly used in electronic assembly may not always have good grounding of the tips during rotation. Grounding via ball-bearings during rotation is a non-working concept since the lubricant in the bearing is insulative. In addition, some mains-powered screwdrivers may not have dedicated grounding since they may be using double insulation to satisfy safety requirements. Resulting voltage on the tip of the screwdriver may be quite high. Author observed 107V AC on the tip of the screwdriver used in assembly of mobile phones in 220V region.
Even the screwdrivers used in equipment for such sensitive process as assembly of disk drives can generate significant voltage. As described in 4 voltage induced into screwdriver’ ground wire by simply its being routed in the same bundle as the wires to stepper motor generating significant spikes.
Power Supply Commutation
This is most important during the IC test and magnetic head test. When an IC is placed in the IC socket, the socket is usually not powered. This paper10 describes the spikes and the transients during powering up the IC during the test. IC failures during IC test are often contributed to such transients. Such transients are hard to capture since they occur only at the moment of commutation and also because access to the test points in the IC handlers is often obscured.
One of the effects of power supply spikes is latch-up. In simple words, latch-up is a phenomenon when a signal outside of power rails of the device transforms the device into a p-n-p-n thyristor structure and the device experiences a runaway current which is liable to overheat the device and to damage it. When a device, such as an IC, fails the test, it is not necessarily the ESD-related damage somewhere in the process. The damage may have had occurred right here in the beginning of the test.
Classification of EOS Events
As seen, there is a plethora of different types of EOS Events in production environment. Due to increasing awareness of EOS exposure and increasing importance of managing EOS, This author recommends that EOS Events are characterized in several general models similar to ESD Event models, such as CDM, MM, HBM, CBM and alike. Such characterization will lead to standardization of tests and to setting requirements to the process and the tools that can be established and verified. Device sensitivity to EOS can also be classified into the “brackets” that can be tested and compared between different companies and laboratories.
Author suggests the following basic types of EOS exposure and associated sources of EOS:
Table 2. Suggested EOS Event Models
| EOS Event Model | EOS Exposure Example |
|---|---|
| Continuous AC | Soldering iron with lost/poor ground |
| Continuous DC | DC soldering irons, tools |
| Long Transient Pulse (milliseconds) | Transient signals due to AC commutation |
| Short Transient Pulse (microseconds) | Transient signals due to EMI on ground |
| Transient Pulse due to DC commutation | Power supply commutation in IC handlers and alike |
At this point the author is reluctant to provide more descriptive classification in hope to collect input from the experts in the industry in order to tap into collective expertise and to gather better classification categories.
References
- IPC-A-610 Acceptability of Electronic Assemblies. (n.d.). IPC.
- Craig Hillman, PhD, Temperature Dependence of Electrical Overstress
- EMI Issues in the Manufacturing Environment, V. Kraz, Conformity, January 2007
- Alternative Method to Verify The Quality of Equipment Grounding, Yan, Gaertner, proceeds of 2005 EOS/ESD Symposium
- EOS Exposure of Magnetic Heads and Assemblies in Automated Manufacturing, Vladimir Kraz, Patsawat Tachamaneekorn, Dutharuthai Napombejara
- Ground Bounce Basics and Best Practices, Phil King, Agilent Technologies
- How Good Is Your Ground?, V. Kraz, P. Gagnon, Evaluation Engineering, May 2006
- EOS Analysis of Soldering Iron Tip Voltage, Baumgartner, G.; Smith, J.S., EOS/ESD Symposium, 1998
- EOS from Soldering Irons Connected to Faulty 120VAC Receptacles, W. Farwell et.al., Raytheon Corporation. Presented at 2005 EOS/ESD Symposium
- Carlos H. Diaz, Hewlett Packard, Automation of electrical overstress characterization for semiconductor devices