Published by Huimin Wang1, and Zhaojun Li2,
1School of mechanical and electrical engineering University of Electronic Science and Technology of China Chengdu, China. Email: hmwang1206@163.com
2Department of Industrial Engineering and Engineering Management Western New England University, Springfield, MA, 01106. Email: zhaojun.li@wne.edu
Abstract—The failure of power system transient stability is one of the main factors causing catastrophic accidents of power systems. Therefore, it is of great significance to evaluate the transient stability of a power system. This paper first introduces the evaluation methods of power system transient stability, including the assessment methods based on time domain simulation, direct method, artificial intelligence-based methods and the probabilistic assessment method. The key challenges in power system transient stability assessment are reviewed and analyzed, including the stability evaluation of power-electronized power system and the main elements of artificial intelligence method used in transient stability assessment. Last, the future research directions and conclusions are discussed.
Keywords – transient stability assessment; power system; power-electronized power system; probability assessment; artificial intelligence
I. INTRODUCTION
Power system transient stability is that the ability of generators to continue to operate synchronously after the system is disturbed [1]. The causes of failure of power system transient stability include short-circuit fault, sudden disconnection of lines or generator, etc. Accurate and fast transient stability assessment method is important to the security operation of power system. With the gradual advancement of smart grid construction, long-distance, huge capacity transmission mode and high-proportion power electronics, the new risks are introduced in power system [2]. Power shortage accidents and complex cascading failures further rise the difficulty of power system stability analysis and control.
The direct method, time domain simulation method and artificial intelligence (AI) method are commonly used for transient stability analysis of traditional power system [3].
The time domain simulation method is to solve the differential equations and algebraic equations, which describe the transient process of the system by various numerical integration methods. Then the stability is judged according to the change of the relative angle between the rotor of the generator. In each step interval, it is approximated that the rotor is in constant acceleration motion [4].
The direct method is mainly based on Lyapunov stability criterion, which is proposed by constructing a function directly in order to quantitatively measure the power system transient stability [5]. Traditional transient stability calculation is carried out under the condition that the topology, parameters, operation conditions and disturbance modes of power system are given. The structure of power system network model is presented in Figure 1.

In Figure 1, Idi and Iqi are rotor current of direct-axis and quadrature-axis respectively; Edi and Eqi are rotor voltage of direct-axis and quadrature-axis; δi is power angle; Exi and Eyi are stator voltage of direct-axis and quadrature-axis; Ixi and Iyi are stator current of direct-axis and quadrature-axis; Efi is excitation voltage; Vti is node voltage; Pmi is input power of prime mover; wi is angular speed of prime mover.
However, previous works focused on the application of different methods to establish Lyapunov functions for power systems. With the development of Lyapunov functions, it is recognized that another key problem is to accurately estimate the stability region after failure of power systems [6]. The calculations of energy function of flexible AC transmission system (FACTS) devices and revised transient energy function of FACTS are formulated in [7].
With the advantage of wide-area measurement system (WAMS) technology, the artificial intelligence prediction method based on WAMS can use real-time measurement data to train the transient stability classifier online, instead of using off-line model to simulate various disturbances to obtain data [8]. Artificial intelligence generates databases as input of established networks through a large number of off-line simulations, and uses intelligent algorithms to construct stable classifiers. Then the stability of the system is evaluated by training stable classifiers [9]. The method of Artificial intelligence is used to develop a load disaggregation approach for bulk supply points based on the substation rms measurement in [10]. The optimization problem is formulated, and the Cuckoo search algorithm is adopted for optimal designing of power system stabilizer in [11]. The analysis about artificial intelligence optimum plans and improving the functioning of the power systems economically are made in [12]. Compared with the time domain method, the artificial intelligence method does not need to establish the mathematical model of the power system. Artificial intelligence method uses the measured response information to extract the characteristics that can reflect the physical nature of the system transient stability. Then the transient stability assessment is carried out by establishing the mapping relationship between the characteristics and the system stability.
Usually, artificial intelligence takes an offline approach to obtain feature samples which can accurately characterize the inherent mechanism of power system operation under anticipated accidents. The acquired samples are trained and learnt repeatedly, and the method of predicting the transient stability of power system is constructing the classifier. Meanwhile, the feature samples are input into the classifier in real time. The comparison of the three methods for evaluating the power system transient stability is shown in Table I.
TABLE I. COMPARISONS OF THREE METHODS

II. BASIC ANALYSIS STEPS OF DIFFERENT METHODS APPLIED TO TRANSIENT STABILITY ANALYSIS
A. Time Domain Simulation Method for Transient Stability
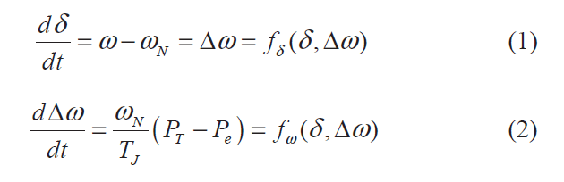
From the previous discussion, the calculation of traditional transient stability is carried out under the condition that the topology, parameters, operation conditions and disturbance modes of power system are given. The time domain simulation method is to solve the differential equations and algebraic equations, which describe the transient process of the system by various numerical integration methods. The equations are as follows:

where δ is angle of power energy; w is angular frequency; wN is rated angular frequency; TJ is electromagnetic torque; PT is mechanical power and Pe is electromagnetic power.
B. Direct Method for Transient Stability
The direct method is mainly based on Lyapunov stability criterion. The direct method contains potential energy boundary surface (PEBS), relevant unstable equilibrium point (RUEP) and extended equal area criterion (EEAC) [13]. The EEAC method refers to that the regulation of excitation can also promote the transient stability of power systems [14]. A multi-objective optimization method is proposed, which is to model transient stability as an objective function rather than an inequality constraint in [15]. Only the excitation system with fast rise of excitation voltage and high peak voltage can have a significant effect on improving transient stability. The reason is that fast excitation reduces the acceleration area, increases the deceleration area and then improves the transient stability of the system. Good excitation control plays a more important role in increasing artificial damping and eliminating the second pendulum or multi-pendulum out-of-step [16]. Basic steps of direct method are shown in Figure 2.

C. Probabilistic Assessment for Transient Stability
Some parameters of power system are random due to errors in measurement, estimation or calculation [17]. The operating conditions and random disturbances are ever-changing, and deterministic analysis does not consider the possibility of various accidents. Transient stability probability analysis is different from deterministic analysis [18]. Different from deterministic analysis, the transient stability probability analysis determines the probability indicators according to the statistical characteristics of the main stochastic factors affecting power system transient stability.
Considering the power system, tcr and tcl are assumed to be the critical and actual clearing times of the fault respectively. The principle of calculating the probability indicators of transient instability is shown in Figure 3 [19,20].

If and only if tcl > tcr, the system will be transient unstable. The fault clearing time tcl is a random variable, and the system transient stability assessment can be expressed by the probability of system instability when the fault occurs.

In the formula, I refer to the event leading to transient instability of the system and the probability density function of the fault clearing time is tcl. If tcr and probability density function of the fault are known, it is easy to obtain the probability indicators of transient instability of the system under this fault condition.
In summary, the method of probabilistic transient stability analysis of power system is divided into analytical method and Monte Carlo method [21]. In order to assessing the probability of power system stability, the conditional probability theory is used. The influence of probability distribution of random factors is mainly considered. Comparison of flow charts of deterministic and probabilistic of transient stability analysis of power system is shown in Figure 4.
The analytical method uses conditional probability theory in statistics to evaluate the stability probability of the system. The probability indicators of transient stability are determined according to the statistical characteristics of the factors that will affect the power system transient stability. Probabilistic transient stability analysis makes up for the limitation of deterministic method in transient stability analysis, which is an important breakthrough and supplement to deterministic method.

But the calculation of probabilistic transient stability analysis is usually very large. Probabilistic analysis of transient stability of power system involves the probability of the system state, which depends not only on the location and type of the fault, but also on the relay protection settings, and the system state before the fault. The probabilistic transient stability analysis procedures are shown in Figure 5.
Usually, disturbance accident simulation is that using probability model to simulate disturbance accident, disturbance includes location, type and other information.

In the process of Monte Carlo simulation, some uncertain parameter models can be obtained from historical data or assumed to be a probability distribution function. The probabilistic transient stability assessment includes state sampling, transient stability simulation and transient instability indicators calculation. Probability assessment of transient stability of power system based on Monte Carlo method is shown in Figure 6.

D. Artificial Intelligence Method
Artificial intelligence method is applied to on-line transient stability analysis. Input feature selection and evaluation model are the key points in the research of assessment of transient stability of power system based on artificial intelligence.
In the construction of assessment of transient stability strategy based on artificial intelligence, the stable discriminant input characteristic is composed of some combined operational variables reflecting the dynamic response during system failure. Subsequently, artificial intelligent technologies are applied to establish the relationship of the input characteristics and the stable state of transient stability characteristics. In the process of modeling, choosing appropriate input features is the key to design, and the electrical value should be converted in center of inertial (COI) frame. A large number of studies have applied feature transformation algorithms such as injection principal component analysis to reduce the input feature dimension and improve learning efficiency [22]. The basic steps of obtaining input characteristic variables are shown in Figure 7.

III. TRANSIENT STABILITY ASSESSMENT OF POWER ELECTRONIC DOMINATED POWER SYSTEM
A. Power Electronics Dominated Power System
With the rapid development of new semiconductor materials and control technology, the penetration of power electronic converter in power supply side, transmission network and load side of power system is getting higher and higher, and the power level of power electronic converter is also rising. Since the 1950s, power semiconductor technology has made great progress. Converters are formed to connect to power systems as voltage or current sources [23]. The power-electronized power system is presented in Figure 8.
Compared with traditional AC power system, the characteristic of power-electronized power system is that the system topology changes with the switching action of power electronic devices. The whole system is time-varying (nonautonomous), and there is interaction of multi-time scale control. In addition, the power electronic converter itself has structural nonlinearity and complexity, and there are overmodulation and limiting phenomena when using pulse width modulation. So that the power electronics dominated power system has saturation nonlinearity. These characteristics bring difficulties to power system stability analysis [24]. The stability of power electronic dominated power system was determined by time domain method, impedance analysis method and generalized short circuit ratio previously. At present, the small signal stability analysis of power-electronized power system has achieved preliminary results. Small signal stability can ensure the asymptotic stability of the equilibrium point, which is a necessary step in device design. However, considering small signal stability alone, the boundary of the stability region can not to be determined and the stability margin of the equilibrium point can not to be judged. Therefore, it is needed to analyze the transient stability of power electronics dominated power system.
B. Artificial Intelligence Method for Transient Stability Assessment of Power Electronics Dominated Power System
Time domain simulation method is considered to be the most mature and reliable method, which is also applicable to power electronic power system. However, the simulation method has the disadvantages of large amount of calculation, long simulation time and impossible to simulate all operation states.
Another main method of transient stability analysis which can be used in power-electronized power systems is that direct method based on modern differential dynamic system. The direct method determines the transient stability of the system by comparing the transient energy with the critical energy of the power system at the time of fault clearing.
However, conventional algorithms of stability analysis and the stability control systems is unable to evaluate the power system operation under smaller and smaller stability margin. Thus, the AI method are complementary to the traditional transient stability analysis method. Artificial intelligence method is applied to on-line transient stability analysis.

Artificial intelligence method is mainly used in combination with wide area monitoring system, which undertakes the functions of pretreatment and post-processing. Transient stability assessment is a mapping from characteristic information to stability category. Its basis is to determine the classification step of decision attribute. Eight attribute variables are listed in the Table II. The class variables are stable and unstable, which are expressed by 1 and 0 respectively.
TABLE II. COMPOSITION OF ATTRIBUTE VALUE OF INPUT VECTOR

There are many characteristics reflecting transient stability. One of the purposes of classifier design is to select representative conditional attributes variables, in order to provide as much information as possible by using conditional attributes. Some features related to transient stability can be extracted. Machine learning algorithm is applied to assessment of transient stability, the key problems including initial feature input, feature selection, model learning and training. The difficulty lies in obtaining the characteristic sample set which can represent the physical essential characteristics and designing the classifier with the lowest error rate for transient stability assessment. The transient stability assessment process of power electronics dominated power system is shown in Figure 9.
IV. DISCUSSION ON FUTURE TRENDS

The artificial intelligence method can realize the identification and decision-making of fast determination of power system transient stability, which is based on the measured data rather than the power system model and parameters. However, this method does not take into account the physical mechanism of the dynamic response of the power system, and requires precise learning samples when calculating. However, it is difficult to provide a large number of valid samples matching the actual operation through off-line simulation. Therefore, artificial intelligence method applied to power system transient stability has the difficulties including deep mining of massive WAMS data, off-line simulation and errors in the use of measured data.
In addition to the traditional power system analysis method, a new analysis method of power system transient stability should be proposed according to the characteristics of power electronics dominated power system. The analysis method combined with bifurcation theory can be studied.
In the aspect of data acquisition, simulation method is used to obtain transient stability analysis data instead of relying on actual fault data. The main reason is that the probability of actual power system failure, especially transient instability, is low. Because the power system vary with time, the applicability of historical data decreases and it is difficult to provide high-quality training data for artificial intelligence algorithm. From this point of view, how to improve the consistency between simulation data and actual fault data is an urgent challenge to be solved.
V. CONCLUSION
This paper presents an overview of the power system transient stability assessment methods. A comprehensive analysis and comparison of the deterministic assessment and probabilistic assessment is presented. Compared with traditional AC power system, the characteristics of power electronics dominated power system have changed dramatically, but it is essentially still a time-varying and nonlinear complex system. The characteristics of power-electronized power system are analyzed, and the artificial intelligence methods of transient stability for power-electronized power system have been presented. In addition, the AI methods which have been used to analyze power system transient stability are reviewed, and data acquisition, feature extraction and algorithm application are discussed.
This research is partially supported by the National Science Foundation of China, No. 71771038.
REFERENCES
[1] P. Kundur, N. J. Balu, and M. G. Lauby, Power system stability and control, New York: McGraw-hill, 1994. pp.30-46.
[2] F. Li, W. Qiao, H. Sun, et al. “Smart transmission grid: Vision and framework,” IEEE Trans. on Smart Grid, vol. 1, pp. 168-177, February 2010.
[3] M. Pavella, “Power system transient stability assessment-traditional vs modern methods,” Control Engineering Practice, pp. 1233-1246, October 1998.
[4] M. L. Crow, Computational methods for electric power systems, Crc Press, 2015.
[5] J. Geeganage, U. D. Annakkage, T. Weekes, et al. “Application of energy-based power system features for dynamic security assessment,” IEEE Trans. on Power Systems, vol. 30, pp. 1957-1965, April 2015.
[6] T. L. Vu, K. Turitsyn, “Lyapunov functions family approach to transient stability assessment,” IEEE Trans. on Power Systems, vol. 31, pp. 1269-1277, February 2016.
[7] J. Aghaei, M. Zarei, M. Asban, et al. “Determining potential stability enhancements of flexible AC transmission system devices using corrected transient energy function,” IET Generation, Transmission & Distribution, vol. 10, pp. 470-476, February 2016.
[8] S. M. Ashraf, A. Gupta, D. K. Choudhary, et al. “Voltage stability monitoring of power systems using reduced network and artificial neural network,” International Journal of Electrical Power & Energy Systems, vol. 87, pp. 43-51, 2017.
[9] K. W. Kow, Y. W. Wong, R. K. Rajkumar, et al. “A review on performance of artificial intelligence and conventional method in mitigating PV grid-tied related power quality events,” Renewable and Sustainable Energy Reviews, vol. 56, pp. 334-346, 2016.
[10] Y. Xu, J. V. Milanović, “Artificial-intelligence-based methodology for load disaggregation at bulk supply point,” IEEE Trans. on Power Systems, vol. 30, pp. 795-803, February 2015.
[11] S. M. A. Elazim, E. S. Ali, “Optimal power system stabilizers design via cuckoo search algorithm,” International Journal of Electrical Power & Energy Systems, vol. 75, pp. 99-107, 2016.
[12] S. M. Zahraee, M. K. Assadi, R. Saidur, “Application of artificial intelligence methods for hybrid energy system optimization,” Renewable and Sustainable Energy Reviews, vol. 66, pp. 617-630, 2016.
[13] S. C. Savulescu, Real-time stability in power systems: techniques for early detection of the risk of blackout, New York: Springer, 2006. pp. 147-165.
[14] B. Wang, B. Fang, Y. Wang, et al. “Power system transient stability assessment based on big data and the core vector machine,” IEEE Trans. on Smart Grid, vol. 7, pp. 2561-2570, May 2016.
[15] C. J. Ye, M. X. Huang, “Multi-objective optimal power flow considering transient stability based on parallel NSGA-II,” IEEE Trans. on Power Systems, vol. 30, pp. 857-866, February 2015.
[16] Y. Zhou, H. Huang, Z. Xu, et al. “Wide-area measurement system-based transient excitation boosting control to improve power system transient stability,” IET Generation, Transmission & Distribution, vol. 9, pp. 845-854, September 2015.
[17] M. Panteli, D. N. Trakas, P. Mancarella, et al. “Boosting the power grid resilience to extreme weather events using defensive islanding,” IEEE Trans on Smart Grid, vol. 7, pp. 2913-2922, June 2016.
[18] C. Peng, J. Zhang, “Delay-distribution-dependent load frequency control of power systems with probabilistic interval delays,” IEEE Trans. on Power Systems, vol. 31, pp. 3309-3317, April 2016.
[19] M. Vatani, T. Amraee, A. M. Ranjbar, et al. “Relay logic for islanding detection in active distribution systems,” IET Generation, Transmission & Distribution, vol. 9, pp. 1254-1263, December 2015.
[20] T. Gonen, Electrical power transmission system engineering: analysis and design, CRC press, 2015, pp. 300-328.
[21] S. Liu, P. X. Liu, X. Wang, “Stochastic small-signal stability analysis of grid-connected photovoltaic systems,” IEEE Trans. on Industrial Electronics, vol. 63, pp. 1027-1038, February 2016.
[22] K. P. Wong, “Artificial intelligence and neural network applications in power systems,” International Conference on Advances in Power System Control, pp. 37-46, 1993.
[23] Q. C. Zhong, “Power-electronics-enabled autonomous power systems: Architecture and technical routes,” IEEE Trans. on Industrial Electronics, vol. 64, pp. 5907-5918, July 2017.
[24] Y. Yang, H. Wang, A. Sangwongwanich, et al. Design for reliability of power electronic systems, Power Electronics Handbook. Butterworth-Heinemann, 2018, pp. 1423-1440.
Source & Publisher Item Identifier: 2019 Prognostics & System Health Management Conference—Qingdao (PHM-2019 Qingdao). DOI: 10.1109/PHM-Qingdao46334.2019.8942834. Source URL: https://www.researchgate.net/publication/338366118_A_Review_of_Power_System_Transient_Stability_Analysis_and_Assessment