Published by L. E. Gallego, Student Member IEEE, H. Torres, Member IEEE, F.A. Pavas, Student Member IEEE, D.F. Urrutia, Student Member IEEE, G. A. Cajamarca, and D. Rondón, Student Member IEEE.
Abstract—The Estimation of Power Quality (PQ) indices has a vital importance on the development of national PQ standards not only because provides truthful information about PQ conditions in our facilities, but also because permits to establish, with an own criterion, the values for the limits of the most common PQ disturbances. This paper proposes a methodology for the estimation of PQ indices based on statistical sampling and weighting factors techniques which are applied for commercial and industrial customers in the city of Bogotá. In addition, some strategies for the classification of the type of customer as well as some final obtained values of PQ indices in Bogotá are presented.
Index Terms— Power Quality, Indices, PQ disturbances, PQ monitoring, Statistical Sampling.
I. INTRODUCTION
ELECTRIC power quality has become an important issue in electrical system operation in last decades and has recently acquired an special interest due to the increasing use of new technologies such as power electronics, microprocessor-based controllers and other nonlinear devices. Consequently, many types of steady state disturbances as harmonic contamination, frequency variations and voltage fluctuations have been introduced to electrical supply networks. On the other hand, the deregulation of electric power industry in many countries has implied a restatement of the concept of power supply service. The introduction of issues such as competitive power markets and non regulated customers implies that the conditions in the relationship utilities-customers are now more demanding. In fact, the new criteria in power supply service go farther than simply providing reliability in service but also maintaining sinusoidal waveforms of voltage and current signals at rated values of amplitude and frequency.
On the other hand, regulating power quality issues based on foreign experiences that strongly differ from the own conditions seems not to be a practical solution. In addition, translation of standards without a previous knowledge of the electrical environment in which these standards are planned to be applied could lead to counterproductive measures. In this way, some power quality surveys are documented in the international literature [1]-[6], with the aim of defining particular electrical environments.
Thus, the research group on Acquisition and Analysis of Signals PAAS-UN of the National University of Colombia carried out a research project with an active participation of the major power supply company in Bogotá-CODENSA E.S.P-, the Colombian Institute of Technical Standards-ICONTEC- and the Regulatory Commission of Gas and Electricity-CREG. The main objective of this project was the monitoring and analysis for the estimation of statistically reliable PQ indices, initially for the city of Bogotá, and subsequently for the rest of the country.
II. PROBLEM DEFINITION
In the international literature exist some standards about PQ [13][14]. In Colombia, some by law regulations [15][16] have established criteria about some Power Quality issues, defining minimum values for reliability indices and establishing criteria of responsibility and economical reimbursement by the reliability of the supplied service. However, these reliability indices are just a part of the evaluation of Power Quality and reflect the lack of knowledge about the real state of the PQ disturbances in the distribution networks. In addition, due to the sensitivity of many commercial and industrial loads, reliability service is no longer indicated by the frequency and duration of interruptions occurring on the distribution system [17].
In Colombia, and specifically in Bogotá, there are no reliable PQ data that permit the estimation of PQ indices such as, sags, swells, flicker, harmonic pollution, transients, etc.
This is not to say that there is a lack of PQ monitoring data, on the contrary, there is a lot of widespread information resulting from particular case studies, but a lack of PQ data acquired in a systematic and planned manner that permit the estimation of PQ indices statistically reliable.
III. CLASSIFICATION OF CUSTOMERS
As a successive approach to the problem of evaluating PQ indices, a methodology for classifying and locating residential, industrial and commercial customers was developed. Two different methodological alternatives were explored. The first alternative consist in studying the Territorial Ordering Plan – TOP- for the city of Bogotá and the second alternative consist in classifying customers using available data provided by the local power supply company.
A. Territorial Ordering Plan – TOP
Taking into account that the present research project looks for a PQ characterization depending on the type of customer (residential, industrial or commercial), the built-up parameters and the use of soil represent important starting points in order to achieve any customer classification.
As a first alternative, the territorial ordering plan TOP for the city of Bogotá was explored. In general, TOP gives some ideas about the development and expansion plan of urban zones according to planned economic activities providing an organized growth of the city. As a result of this stage, a map with different layers representing and locating commercial, industrial or residential zones in the city was obtained. It is important to note that several zones of the city were not properly classified as a certain type of customer because of their non-definable economic activity. These zones are called here as “mixed zones”. The map above mentioned is shown in Fig. 1.

B. Classification of customers using power consumption data
The second alternative attempts to classify customers by means of the available data provided by the local power supply company. This data contains information about circuit identification, rated voltage, type of demand, number of customers connected by circuit, etc.
Two criteria were relevant in the analysis of this information: number of customers and power consumption.
The former attempts to describe the impact in Power Quality due to the number of sources of the same type producing any PQ disturbance. The latter describes the influence in PQ due to the level of power consumption data providing an idea of the effect of injecting PQ disturbances to the system by a high power consumption load[18]. By this means, an ordering of the most representative circuits of the distribution network following both criteria was achieved, obtaining two different lists of circuits for each type of customer. An additional correlation was made between each pair of lists depending on the type of customer in order to select those circuits that were the most representative in both criteria (number of customers and power consumption level). In that way, a list of about 20 circuits for each type of customer was selected to be monitored during the measurements stage.
It is important to mention that not only a commitment between number of users and power consumption is important, but also their geographical location inside the city. With this purpose, the city was divided in three zones: north zone, downtown zone and south zone, and the selected circuits were clustered according to the substation that feed them. This clustering permit to observe the relevance of each type of consumption depending on the geographical zone and made easier the elaboration of a systematic monitoring plan.
IV. STATISTICAL SAMPLING
A description of the statistical sampling tools is presented in this section. These statistical tools were used with the aim of determining the size of a representative sample of each type of customer, given some intervals of confidence and some errors in the estimation of PQ indices.
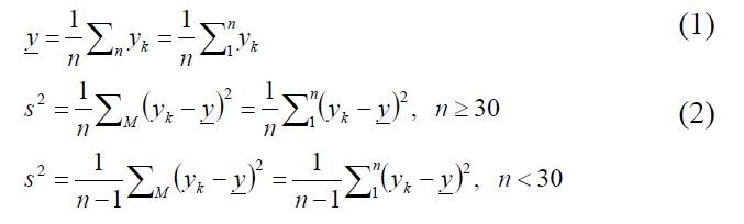
Considering a sample of n elements, a characteristic in study y and the variable yk representing the mentioned characteristic in the k-element, is possible to calculate the sample media y and the sample variance s2 as follows [13]:

In general terms, the estimation of the sample size requires a previous knowledge of the population variance. This variance may be estimated based on a preliminary or pilot sample which could vary on size. In the case of big-size pilot samples, a normal distribution should be assumed and in the case of small size pilot samples a t-student distribution should be adopted [13]. For the last case, the estimation error e and the sample size sn should be calculated as:

where variable t1-α represents a t-student probability distribution value depending on the confidence level α.
The pilot sample consisted in a set of case studies achieved in industrial and commercial customers without overcoming the number of 30 studies; therefore a t-student distribution with n-1 degrees of freedom was used. Moreover, the number of total customers was considered high enough that the approach of infinite population size was considered valid. The confidence level and the estimation error were set in 95% and 20% respectively; in other words, the mean of a PQ index μ was estimated having a 95% of confidence that its value remains in the interval from 0.8μ to 1.2μ. Some statistical results for several PQ indices based on the pilot sample for commercial and industrial customers are shown in tables I and II respectively.
It can be observed from Tables I and II that the sample size necessary to estimate PQ indices is mainly determined by the index presenting the major variance. In this case the major variance is presented in the TDD index as it is expected. It is important to highlight that the lower error estimation, the higher the sample size, implying practically an approximately inverse quadratic relation between the error estimation and the sample size.
The final obtained sample size for commercial and industrial customers were 37 and 45 respectively, for a total of 82 measurements. It is important to note that working with a lower error (for instance 10%), implies to multiply by four the sample size (about 320 customers including commercial and industrial) which is a high number of measurements considering that the minimum monitoring period for some indices is 1 day. In addition, in a measurement plan is usual to discard some registers due to the lack of consistence in data, equipment failure or simply because some PQ events such as sags, swells, transients or flicker do not occur during monitoring; therefore, many times is necessary to carry out a major number of measurements in order to obtain the minimum required and reliable measurements. By this means, the error estimation value was set in 20 %.
TABLE I STATISTICAL PARAMETERS BASED ON A PILOT SAMPLE FOR COMMERCIAL CUSTOMERS

TABLE II STATISTICAL PARAMETERS BASED ON A PILOT SAMPLE FOR INDUSTRIAL CUSTOMERS

V. MONITORING
This section describes some details about the monitoring set up, the equipments used, the criteria in data analysis and the monitoring planning during the development of this project.
A. Equipment and monitoring set up
With the purpose of achieving the measurements it was important to maintain some common characteristics in monitoring. These characteristics are related to the point of measurement, the period of monitoring, and a common programming of the equipment. In general, the measurements were carried in low voltage side (<600V) at the PCC (Point of Common Coupling), the period of monitoring was planned in order to register PQ events in a typical duty cycle, over passing in most of the cases a period of 8 hours. Concerning to the programming of the equipment, the same triggers set up were maintained. Basically, four PQ analyzers were used during the monitoring as follows: AR4, AR5, AEMC and TOPAS1000. Several differences are present among these different equipments, especially in the memory capacity, which allows registering PQ events in different levels of resolution.
B. Data Analysis per customer
Due to the different equipments, several indices could be obtained directly from the software of each PQ analyzer. However, this methodology implies different ways of obtaining PQ indices with no control of the calculus in the software. In order to avoid this “black box” situation, the data was extracted from the equipment in a text file and was processed in a common manner for all the equipment depending on the PQ index. As a result of this methodology a PQ index per customer is obtained depending on the disturbance as it is explained next.
1) Voltage Unbalance
Voltage unbalance is defined as the maximum deviation from the average of the three-phase voltage, divided by the average of the three-phase voltages, expressed in percent. Following this methodology, a voltage unbalance profile must be obtained from the monitoring by calculating a voltage unbalance value in each monitoring interval. In order to obtain an estimation of this index per customer it was necessary to build a cumulative probability distribution for voltage unbalance and by means of the criterion of 95%, it was possible to determine which value of voltage unbalance was not surpassed during the 95% of the monitoring period.
2) Sags and Swells
Sags and swells are non-stationary phenomena, therefore it is not possible to build a cumulative probability distribution during a monitoring because of the lack of data; this led to estimate the index per customer as a simple mean of the sags and swells events in per unit p.u.
3) Total Harmonic Distortion THD
A profile of Voltage THD should be obtained along the period of monitoring. It is possible to build cumulative probability distributions for each profile depending on the phase. Again, the criterion of 95% was used for each profile, and the maximum value among the three phases is chosen as the estimation of this index per customer.
4) Total Demand Distortion TDD
This index is based on both THD values for current and the fundamental of the peak demand current. This peak demand current is calculated as the annual average of the maximum monthly demand current [14]. Unfortunately, the period of monitoring is not a year, but a day or at least a duty cycle, therefore, it was assumed that the behavior shown in the current profiles was the same during a year. In this way, this peak demand current is calculated as the average of the maximum current for each monitoring interval. Once this value is calculated, the procedure to estimate this index is similar to that followed in the THD index per customer.
5) Power Frequency variations
In general terms, these power frequency variations are uncommon and the estimation of this index was treated as a single mean value.
6) Flicker – Pst
This index was calculated by using a Pst profile obtained from the monitoring. The Pst values were transformed in a cumulative probability distribution and the value of the index
was estimated using the criterion of 95%, in other words, the value of Pst that was not surpassed during the 95% of the monitoring period.
7) Current Unbalance
The estimation of this index for each customer is similar to that followed for the voltage unbalance.
8) Power Factor
The power factor were divided in inductive and capacitive for each customer and a single mean value of the Power factor profiles were used as the final index.
9) Neutral Currents
This index was calculated as a ratio between the neutral current and the average of the three-phase currents. Once again, a profile was obtained and the criterion of 95% based on a cumulative probability distribution was used for estimate the value of this index.
C. Monitoring Plan
Given that the distribution of industrial, commercial and residential customers is non uniform along the city, it is not representative to program an equal number of measurements for the different geographical zones described in section III. Hereby, the city was divided in a grid with the aim of determining the spatial distribution for each type of customer. As a result of this distribution, it was possible to assign a different number of measurements depending on the geographical zone. The results are shown in Table III. It is important to note that a monitoring or measurement is a register in an individual customer that last at least a duty cycle.
TABLE III SPATIAL DISTRIBUTION AND REQUIRED MONITORINGS ACCORDING TO THE TYPE OF CUSTOMER

VI. ESTIMATION OF PQ INDICES
In general terms, the problem of estimation of PQ indices consist on estimating a value for a specific PQ equivalent index for the entire city, based on the values of the data analysis per customer described in numeral B of section V.
Power quality in a specific node of the utility system is affected by the contributions of all users connected to that node; consequently, the value of a particular PQ index must be calculated taking into account these contributions. In addition, contribution of different users are generally not uniform because of their power consumption, frequency response, harmonic spectra, etc., hence, calculation of total indices must account for such characteristics.
On the other hand, PQ disturbances have their characteristic spectra and could be studied focusing the analysis in those frequencies. Monitoring equipment allow sampling voltage and current waveforms, consequently, frequency spectra can be estimated using a finite number of components [15]. We suppose that sampling frequency and the number of cycles registered are correctly selected to obtain frequencies related to PQ disturbances under study, such us flicker, harmonics, interharmonics, etc. Available equipment can register disturbances with frequencies between 0 and 3kHz.
The equations used to calculate the value of PQ indices use a one-phase equivalent, applicable only under a balanced condition, which is a very rare situation, moreover, when signals with frequency components different to fundamental frequency are present [16]. Nevertheless, this is a good approach to obtain more accurate values of PQ indices.
A. Classification of PQ indices
In order to estimate the value of a particular PQ index it is important to take into account the topology of the distribution network. The proposed distortion indices are valid just for the case of radial distribution systems.
The PQ indices estimation must account for the particularities of each PQ disturbance. For this purpose, the authors propose a classification of the PQ indices in voltage-related indices and current-related indices.
B. Voltage-related indices
Voltage-related indices are related to Voltage disturbances and their values do not strongly depend on the power consumption of the customer. The proposed way of calculating these types of PQ equivalent indices is similar to that of an r.m.s value, as it is shown in (5):

where
IndEQ : Voltage-related equivalent index.
Indi : Voltage-related index of a single customer i.
N : Number of customers.
In case of obtaining non-sparse values for the voltage-related indices, the rms value may be approached to a mean value as it is shown in (5).
The voltage-related indices finally considered were short-duration voltage variations (sags and swells), long-duration voltage variations, power frequency variations, flicker, voltage unbalance and voltage harmonic distortion.
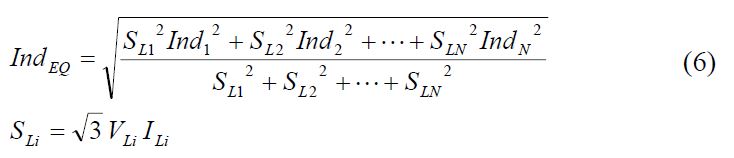
C. Current-related indices
Current-related indices are related to Current disturbances and their values strongly depend on the power consumption of customers. The value of an equivalent index for PQ disturbances such as current harmonic distortion must be calculated in a different way from that used to estimate voltage-related indices. The reason for this difference is based on the fact that customers with grater power consumptions inject greater distortions to the distribution network as well.
The proposed way of calculating these types of PQ equivalent indices uses a quadratic weighting of customer’s power consumption, as it is shown in (6):

where
SLi : Maximum power consumption of customer i.
IndEQ : Current-related equivalent index.
Indi : Current-related index of a single customer i.
N : Number of customers
The current-related indices finally considered were current unbalance, current harmonic distortion, power factor and neutral currents.
VII. ANALYSIS OF RESULTS
As it was mentioned before, the aim of the study is to estimate values for PQ indices using measurements and available information about the distribution system network. Monitoring provides information about PQ phenomena and power consumption. The final calculation of PQ indices took into account the total number of measurements (121) which were preprocessed and some measurements were discarded due to data errors. This number of 121 measurements differs from the initial 82 measurements required in section IV due to the availability of additional PQ monitors during the monitoring stage, which led to smaller estimation errors (<15%).
From the PQ indices considered in IEEE 1159 [14], only the transients category was not included in the final results because of some technical requirements as sampling rates and memory capacity in the PQ monitors, that hindered the collection of reliable transient waveforms. In addition, other indices were finally considered such as power factor, neutral currents, and current unbalance, providing important information about some Power quality related problems.
In this manner, the PQ indices were obtained depending on the type of customer and the geographical zone within the city. For the purpose of presenting the final results, the PQ indices were divided in two groups: voltage-related indices and current-related indices.
A. Voltage-related indices
As it was mentioned before, these indices are related to Voltage disturbances and consider short-duration voltage variations (sags and swells), long-duration voltage variations, power frequency variations, flicker, voltage unbalance and voltage harmonic distortion. The results are shown in Table IV.
According to the study, the expected value of a sag event in Bogotá is 0.64 p.u. which could led to undesirable shutdown events, especially in some automated industrial processes, that may have a considerable economic impact. On the other hand, the expected value of swells of 1.06 seems not to be a problem, because this value is within the common operation range of equipment. In addition, none of the customers experienced long-duration voltage variations or power frequency variations.
In the case of flicker, the results shown that Pst values for Bogotá are practically exceeded for the industrial customers according to IEC 61000-4-15 [17] and for the total case the Pst value is just over the limit (1.01).
TABLE IV VOLTAGE-RELATED INDICES FOR INDUSTRIAL AND COMMERCIAL CUSTOMERS

With respect to voltage harmonic distortion, the results shown that for the total case, the expected value of THD (4.1%) do not exceed the limit proposed by the Standard IEEE519[14]. Moreover, the large individual voltage harmonics are 3o, 5oand 7o. However, this THD expected value should be complemented with the percentage of customers who are out of the limit proposed by IEEE 519, which for the case of Bogotá is 12%. In this manner, the convenience and the possible economic impact of adopting IEEE519 limit values in a national standard should be established.
In addition, most of the measured THD values are in the range of 3-5 %, which means that the THD is close to the IEEE519 limit value, and can be reached in a few years if no corrections are implemented.
Finally, the value of voltage unbalance index seems not to be a problem because this values is less than 2%, which is the limit value proposed by the standard IEC 61000-2-2 [18].
B. Current-related indices
As it was mentioned before, these indices are related to current disturbances and consider current unbalance, current harmonic distortion, power factor and neutral currents. The results are shown in Table V.
TABLE V CURRENT-RELATED INDICES FOR INDUSTRIAL AND COMMERCIAL CUSTOMERS

According to the study, the expected value of current unbalance in Bogotá is 39.2% which is an indicative of some bad practices in the design of electrical installations, that could led to some related PQ problems.
About current harmonic distortion, the results shown that for the total case, the expected value of TDD is 12.5%. Moreover, the large individual current harmonics are 5o, 7o and 11o. Similarly to the case of harmonic voltage distortion this TDD expected value should be complemented with the percentage of customers who are out of the limit proposed by IEEE519, which for the case of Bogotá is 19%. Obviously the TDD value for each customer were compared with IEEE519 values taking into account the ratio between the short circuit current and the maximum demand load current (Isc/IL) at the Point of Common Coupling PCC.
For the measurements in which the PCC do not coincided with the point of the measurement (Low voltage side), -for instance PCC located at the high voltage side-, the value of TDD were recalculated taking into account the connection group of the transformer in order to consider the flux of zero-sequence harmonics to the distribution network.
Again, this percentage of customers out of the IEEE519 limits helps to establish the convenience and the possible economic impact of adopting IEEE519 limit values in a national standard, because that 19% of customers “out of limits” should either install harmonic mitigation equipment such as compensators, active filters, etc., or should change their old-fashion industrial equipment, which is a common situation in a developing country that implies great investments.
VIII. CONCLUSION
A methodology for acquiring PQ data in a systematic and planned manner in order to estimate PQ indices statistically reliable was presented. This methodology accounts for a classification of customers according to power consumption levels and geographical location. Some statistical tools were used for determining the size of a representative sample and a suitable planning of monitoring as well. A methodology is proposed for calculating values associated to PQ indices based on the existing relation between PQ disturbances and power consumption. Consequently, the obtained values for certain PQ indices in Bogotá-Colombia are presented. This project is a contribution to the knowledge of Power Quality conditions in Colombia and an effort for establishing the limit values for the most common PQ disturbances with the aim of contributing to local by law PQ regulations.
REFERENCES
[1] M. Goldstein and P. D. Speranza, “The quality of U.S. commercial ac power,” in Proc. IEEE INTELLEC, 1982, pp. 28–33.
[2] M. B. Hughes and J. S. Chan, “Canadian National power quality survey results,” in Proc. EPRI PQA’95, New York, NY, May 9–11, 1995.
[3] D. Dorr, “Point of utilization power quality study results,” IEEE Trans. Ind. Applicat., vol. 31, pp. 658–666, July/Aug. 1995.
[4] D. D. Sabin, T. E. Grebe, and A. Sundaram, “Surveying power quality levels on U.S. distribution systems,” in Proc. 13th Int. Conf. Electricity Distribution (CIRED’95), Brussels Belgium, May 1995.
[5] F. D. Martzloff and T. S. Gruzs, “Power quality site surveys: Facts
fiction and fallacies,” IEEE Trans. Ind. Applicat., vol. 24, pp. 1005–1018, Nov./Dec., 1988.
[6] M.Fayyaz; S.Mumtaz,S.;“A sample power quality survey for emerging competitive electricity market in Pakistan” Multi Topic Conference, IEEE INMIC 2001. Technology for the 21st Century. Proceedings. IEEE International 28-30 Dec. 2001 pp 38 – 44.
[7] IEC 60000-1-1 Electromagnetic compatibility (EMC) – Part 1: General – Section 1: Application and interpretation of fundamental definitions and terms.
[8] IEEE Recommended Practice for monitoring Electric Power Quality. IEEE Std 1159
[9] Resolution CREG 070 of 1998. Commission of Regulation for Gas and Electricity of Colombia. Available online: http://domino.creg.gov.co/PUBLICAC.NSF/Indice01/Resoluci%C3%B3n-1998-CREG070-98
[10] Resolution CREG 096 of 2000. Commission of Regulation for Gas and Electricity of Colombia. Available online: http://domino.creg.gov.co/Publicac.nsf/Indice01/Resoluci%C3%B3n-2000-CREG096-2000
[11] R. C. Dugan, Brooks D. L, M. Waclawiak, A. Sundaram, “Indices for Assessing utility distribution system rms variation performance”. IEEE Trans. On Power Delivery, Vol . 13, No. 1, pp 254-259. January 1998.
[12] Electrical Power Systems Quality. R Dugan, M McGranaghan and W. Beaty. 1st ed. McGraw Hill. 1996.
[13] A. Moreno, F. Jauffred. “Elementos de probabilidad y estadística”. Alfaomega. 1993.
[14] IEEE Recommended practice and requirements for harmonic control in Electric Power Systems. IEEE std 519-1992
[15] A. Oppenheim, R. Schafer. “Discrete-time signal processing”. Prentice Hall. 1989
[16] J. Arrillaga, C.P. Arnold. “Computer analysis of power systems”. John Wiley and Sons. 1995
[17] IEC 61000-4-15 Electromagnetic Compatibility (EMC) – Part 4. Testing and measurement techniques – Section 15: Flickermeter – Functional and design specifications. 2003
[18] IEC 61000-2-2. Electromagnetic compatibility (EMC) – Part 2-2: Environment – Compatibility levels for low-frequency conducted disturbances and signalling in public low-voltage power supply systems. 2002
All the Authors are with the Electrical Engineering Department, National University of Colombia – Research program on acquisition and analysis of signals PAAS UN. Bogotá –Colombia (e-mail: lgallegov@unal.edu.co).
This research project conducted by the research program on Acquisition and Analysis of signals of the National University of Colombia-PAAS UN is a contribution for the determination of PQ indices in order to be included in the Colombian PQ standard.
This work was supported by the Colombian council of science and technology – COLCIENCIAS, CODENSA E.S.P, CREG and ICONTEC.