Published by
- M.P.Donsión, & J.M. Rodríguez, Department of Electrical Engineering, University of Vigo, Campus of Lagoas Marcosende, 36310 Vigo (Spain), Email: donsion@vigo.es
- J.A. Güemes2, Department of Electrical Engineering, University of Basque Country (Spain)
Abstract. Flexible AC transmission systems or FACTS are devices which allow the flexible and dynamic control of power systems. This paper is aimed toward the benefits of utilizing FACTS devices with the purpose of improving the operation of an electrical power system.
Introduction
Power quality is an issue that is becoming increasingly important to electricity consumers at all levels of usage. Sensitive equipment and non-linear loads are commonplace in both the industrial and the domestic environment, because of this a hightened awareness of power quality is developing. The sources of problems that can disturb the power quality are: power electronic devices, arcing devices, load switching, large motor starting, embedded generation, sensitive equipment, storm and environment related damage, network equipment and design.
The solution to improve the energy quality (PQ-Power Quality) at the load side is of great important when the production processes get more complicated and require a bigger liability level, which includes aims like to provide energy without interruption, without harmonic distortion and with tension regulation between very narrow margins. The devices that can fulfil these requirements are the Custom Power; a concept that we could include among the FACTS, but that is different to them because of their final use. In fact the topologies that they employ are identical to the ones in the FACTS devices with little modifications and adaptations to tension levels, therefore they are most oriented to be used in distribution networks of low and medium tension, sometimes replacing the active filters.
Recent developments in electrical power systems such as deregulation, open access, and cogeneration are creating scenarios of transmission congestion and forced outages. Addition of new transmission lines is an almost impossible solution due to environmental and other considerations, and developing new approaches to Power System Operation and Control is the need of the hour for overload relief and efficient and reliable operation. Flexible AC Transmission Systems (FACTS), with the underlying concept of independent control of active and reactive power flows, offer an attractive alternative for achieving the objectives.
The use of static power converters in electricity networks has the potential of increasing the capacity of transmission of the electric lines and improving the supply quality of the electric energy. The devices used to achieve this, are the FACTS (Flexible Alternating Current Transmission Systems). The FACTS technology has a collection of controllers, that can be used individually or co-ordinated with other controls installed in the network, thus permitting to profit better of the network’s characteristics of control.
The FACTS controllers offer a great opportunity to regulate the transmission of alternating current (AC), increasing or diminishing the power flow in specific lines and responding almost instantaneously to the stability problems. The potential of this technology is based on the possibility of controlling the route of the power flow and the ability of connecting networks that are not adequately interconnected, giving the possibility of trading energy between distant agents.
Flexible Alternating Current Transmission System (FACTS) is a static equipment used for the AC transmission of electrical energy. It is meant to enhance controllability and increase power transfer capability. It is generally a power electronics based device.
FACTS is defined by the IEEE as “a power electronic based system and other static equipment that provide control of one or more AC transmission system and increase the capacity of power transfer.”
The FACTS devices can be divided in three groups, dependent on their switching technology: mechanically switched (such as phase shifting transformers), thyristor switched or fast switched, using IGBTs [4]. While some types of FACTS, such as the phase shifting transformer (PST) and the static var compensator (SVC) are already well known and used in power systems, new developments in power electronics and control have extended the application range of FACTS. Furthermore, intermittent renewable energy sources and increasing international power flows provide new applications for FACTS. The additional flexibility and controllability of FACTS allow to mitigate the problems associated with the unreliable of supply issues of renewable. SVCs and STATCOM devices are well suited to provide ancillary services (such as voltage control) to the grid and fault ride through capabilities which standard wind farms cannot provide ¡Error! No se encuentra el origen de la referencia.. Furthermore, FACTS reduce oscillations in the grid, which is especially interesting when dealing with the stochastic behavior of renewable.
In a liberalized market, the added value of FACTS, and especially power flow controlling devices, is the ability to control flow paths and therefore the ability to resolve congestions and optimally utilizing available grid infrastructure ¡Error! No se encuentra el origen de la referencia., ¡Error! No se encuentra el origen de la referencia.. Although FACTS devices are currently quite expensive, it is expected that with a growing utilization and experience, prices will drop considerably.
Benefits of utilizing FACTS devices
The benefits of utilizing FACTS devices in electrical transmission systems can be summarized as follows [1]:
- Better utilization of existing transmission system assets
- Increased transmission system reliability and availability
- Increased dynamic and transient grid stability and reduction of loop flows
- Increased quality of supply for sensitive industries
- Environmental benefits Better utilization of existing transmission system assets
In many countries, increasing the energy transfer capacity and controlling the load flow of transmission lines are of vital importance, especially in de-regulated markets, where the locations of generation and the bulk load centers can change rapidly. Frequently, adding new transmission lines to meet increasing electricity demand is limited by economical and environmental constraints. FACTS devices help to meet these requirements with the existing transmission systems.
Classification
There are different classifications for the FACTS devices:
Depending on the type of connection to the network FACTS devices can differentiate four categories
- serial controllers
- derivation controllers
- serial to serial controllers
- serial-derivation controllers
Depending on technological features, the FACTS devices can divided into two generations
- first generation: used thyristors with ignition controlled by gate(SCR).
- second generation: semiconductors with ignition and extinction controlled by gate (GTO´s , MCTS , IGBTS , IGCTS , etc).
These two classifications are independent, existing for example, devices of a group of the first classification that can belong to various groups of the second classification.
The main difference between first and second generation devices is the capacity to generate reactive power and to interchange active power.
The first generation FACTS devices work like passive elements using impedance or tap changer transformers controlled by thyristors. The second generation FACTS devices work like angle and module controlled voltage sources and without inertia, based in converters, employing electronic tension sources(three-phase inverters, auto-switched voltage sources, synchronous voltage sources, voltage source control) fast proportioned and controllable and static synchronous voltage and current sources.
Table 1. Two generations of the FACTS devices [2]
First Generation
| FACTS devices | Attributes of control |
|---|---|
| Static Var Compensator, SVC (TCR,TCS,TRS) | Voltage control and stability, compensation of VAR´s. muffling of oscillations |
| Thyristor Controlled Series Compensations (TCSC,TSSC) | Current control, muffling of oscillations, transitory, dynamics and of voltage stability, limitation of fault current |
| Thyristor Controlled Reactor Series (TCSR,TSSC) | Current control, muffling of oscillations, transitory, dynamics and of voltage stability, limitation of fault current |
| Thyristor Controlled Phase Shifting Transformer (TCPST,TCPR) | Control of active power, muffling of oscillations, transitory, dynamics and of voltage stability |
| Thyristor Controlled Voltage Regulator (TCVR) | Control of reactive power, voltage control, muffling of oscillations, transitory, dynamics and voltage stability |
| Thyristor Controlled Voltage Limited(TCVL) | Limits of transitory and dynamic voltage |
Second Generation
| FACTS devices | Attributes of control |
|---|---|
| Synchronous Static Compensator (STATCOM without storage) | Voltage control, compensation of VAR´s, muffling of oscillations, stability of voltage |
| Synchronous Static Compensator (STATCOM with storage) | Voltage control and stability, compensation of VAR´s, muffling of oscillations, transitory, dynamics and of tension stability |
| Static Synchronous Series Compensator (STATCOM without storage) | Current control, muffling of oscillations, transitory, dynamics and of voltage stability, limitation of fault current |
| Static Synchronous Series Compensator (STATCOM with storage) | Current control, muffling of oscillations, transitory, dynamics and of voltage stability |
| Unified Power Flow Controller (UPFC) | Control of active and reactive power, voltage control, compensation of VAR´s, muffling of oscillations, transitory, dynamics and of voltage stability, limitation of fault current |
| Interline Power | Control of reactive power, voltage |
| Flow Controller (IPFC) or Back to Back (BtB) | control, muffling of oscillations, transitory, dynamics and of voltage stability |
FACTS in Electrical Power Systems
The concept of FACTS devices was presented in 1979, but the practical implementation and development of new analytical procedures are still in evolution. One of the objectives of the paper is to present the state-of-the-art technology and analysis of FACTS devices. Since the field demonstration of the world’s first UPFC in 1998, another FACTS controller, namely Sent Transformer (ST), has been proposed. In contrast to the UPFC, which uses a large number of solid-state switching devices, the ST uses time-tested components, such as transformer and load tap changers, but provides the same independent active and reactive power flow control as the UPFC at a much lower cost.
The FACTS devices are installed on electric power (high voltage AC) transmission lines to stabilize and regulate power flow for the dynamic control of voltage impedance and phase angle. Power lines protected by FACTS devices can support greater current because anomalies—frequency excursions, voltage drop, phase mismatch, malformed wave shape, power spikes, etc.—that would otherwise cause breakers to trip are removed or greatly reduced by FACTS conditioning.
A FACTS device can also limit the amount of current that flows on a line by effectively increasing the line’s impedance. This enables a much greater degree of flow control than provided by a switch or breaker. In particular, when current applied to a FACTS-protected line is greater than the device will allow, the power merely flows elsewhere rather than tripping a breaker, and power continues to flow on the protected line.
Essentially, lines can be run closer to their theoretical capacities when they are protected by FACTS devices. For a large line, that can mean substantial additional power. High voltage, high-power FACTS devices are building-sized and expensive, but they are lower cost and have less impact per added unit of electric power than new transmission lines. This is the essential benefit of operating standalone FACTS devices on individual lines.
FACTS devices offer an additional benefit: consider an interconnected network where two identical lines are carrying power, one at 50% of its capacity (for this example assume that capacity refers to the line’s operational limit under local conditions), the other at 99%. Assume that any additional load will be supplied equally through the two lines and that there is sufficient generating capacity to support the additional load being considered. Under these conditions additional load can be supplied only up to the limit of either line, and since one is at 99%, the system can support only about twice the remaining 1% (half of the additional power would go to each line). Additional power would cause the 99% line’s protective breakers to trip, at which point all power would attempt to pass through the remaining line, which would then also trip; the generators, being disconnected from their loads, would shut down, and the system would go dark.
However, if the line at 99% were held there by a FACTS device, any added power would go through the 50% line while power continued to flow in the 99% line at its original level. The capacity of this network considered as a whole would be increased by 25%, over and above the stabilizing and regulating benefits provided by the FACTS device. Note that this benefit cannot be recognized by analyzing just the FACTS device and its assigned branch, but only by considering the entire network. For a system that often operates in this sort of unbalanced state, FACTS devices can provide substantial additional capacity simply by forcing more of the network to carry the level of power it was designed to carry.
This idea leads to a new mode of operation: FACTS Devices can also direct power to less utilized parts of the transmission network, effectively increasing the capacity of the network, in addition to their customary standalone roles. Because optimum flow for the network as a whole cannot be achieved by considering only single branches, FACTS devices can perform this function only in cooperation with one another, so in this report such devices are referred to as Cooperating FACTS devices, or CFDs.
In practice, however, the additional communication required of CFDs opens the potential for subverting the operation of a cooperative system. This report considers both the operational and security aspects of CFDs operating in an electric power system network.
Installing FACTS devices factors
There are three factors to be considered before installing a FACTS devices:
- The type of device
- The capacity required
- The location that optimize the functioning ofthe device
Of these three factors, the last one is of great importance, because the desired effect and the proper features of the system depend of the location of FACTS.
Steps for the identification of FACTS Projects:
- The first step should always be to conduct a detailed network study to investigate the critical conditions of a grid or grids’ connections. These conditions could include: risks of voltage problems or even voltage collapse, undesired power flows, as well as the potential for power swings or subsynchronous resonances;
- For a stable grid, the optimized utilization of the transmission lines– e.g. increasing the energy transfer capability – could be investigated;
- If there is a potential for improving the transmission system, either through enhanced stability or energy transfer capability, the appropriate FACTS device and its required rating can be determined;
- Based on this technical information, an economical study can be performed to compare costs of FACTS devices or conventional solutions with the achievable benefits.
Types of network connection
1.Serial controllers Can consist of a variable impedance as a condenser, coil, etc or a variable electronics based source at a fundamental frequency. The principle of operation of all serial controllers is to inject a serial tension to the line. A variable impedance multiplied by the current that flows through it represents the serial tension. While the tension is in quadrature with the line current the serial controller only consumes reactive power; any other phase angle represents management of active power. A typical controller is Serial Synchronous Static Compensator (SSSC).
2.Controllers in derivation. As it happens with the serial controller, the controller in derivation can consist of a variable impedance, variable source or a combination of both. The operation principle of all controllers in derivation is to inject current to the system in the point of connection. Available impedance connected to the line tension causes variable current flow, representing an injection of current to the line. While the injected current is in quadrature with the line tension, the controller in derivation only consumes reactive power; any other phase angle represents management of active power. A typical controller is Synchronous Static Compensator (STATCOM).
3.Serial-serial Controllers. This type of controllers can be a combination of coordinated serial controllers in a multiline transmission system. Or can also be an unified controller in which the serial controllers provide serial reactive compensation for each line also transferring active power between lines through the link of power. The active power transmission capacity that present a unified serial. controller or line feed power controller (also called BtB), makes possible the active and reactive power flow balance and makes the use of transmission bigger. In this case the term “unified” means that the DC terminals of the converters of all the controllers are connected to achieve a transfer of active power between each other. A typical controller is the Interline Power Flow Compensator (IPFC).
4.Serial-derivation Controllers. This device can be a combination of serial and derivations controllers separated, coordinately controlled or a unified power flow controller with serial and derivation elements. The principle of operation of the serial-derivation controllers is to inject current to the system through the component in derivation of the controller, and serial tension with the line utilizing the serial component. When the serial and derivation controllers are unified, they can have an exchange of active power between them through their link. A typical controller is Unified Power Flow Controller (UPFC), witch incorporating function of a filtering and conditioning, becomes a Universal Power Line Conditioner (UPLC).
Applications and technical benefits of FACTS
Table 2 describe the technical benefits of the principal FACTS devices. For each problem the conventional solution (e.g. shunt reactor or shunt capacitor) also can be used. For dynamic applications of FACTS in addressing problems in transient stability, dampening, post contingency voltage control and voltage stability. FACTS devices are required when there is a need to respond to dynamic (fast-changing) network conditions. The conventional solutions are normally less expensive than FACTS devices – but limited in their dynamic behavior. It is the task of the planners to identify the most economic solution.
Table2. Technical benefits of the main FACTS devices

The Unified Power Flow Controller (UPFC)
The UPFC may be seen to consist of two VSCs sharing a common capacitor on their DC side and a unified control system.

On Figure 1 we can see two back-to-back voltage source converters (VSCs), with one VSC connected to the AC network using a shunt transformer and the second connected to the AC network using a series transformer.
While operating both inverters as a UPFC, the exchanged power at the terminals of each inverter can be imaginary as well as real.
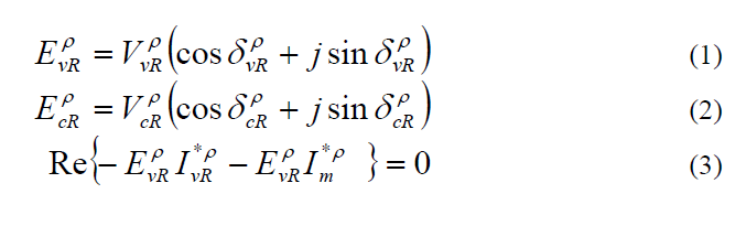
The mathematical UPFC model has been derived with the aim of being able to study the relations between the electrical transmission system and UPFC in steady and transient conditions.

The active power demanded by the series converter is drawn by the shunt converter from the AC network and supplied to bus m through the DC link. The output voltage of the series converter is added to the nodal voltage, at say bus k, to boost the nodal voltage at bus m. The voltage magnitude of the output voltage VcR provides voltage regulation, and the phase angle δcR determine the mode of power flow control.
In addition to providing a supporting role in the active power exchange that takes place between the series converter and the AC system, the shunt converter may also generate or absorb reactive power in order to provide independent voltage magnitude regulation at its point of connection with the AC system.
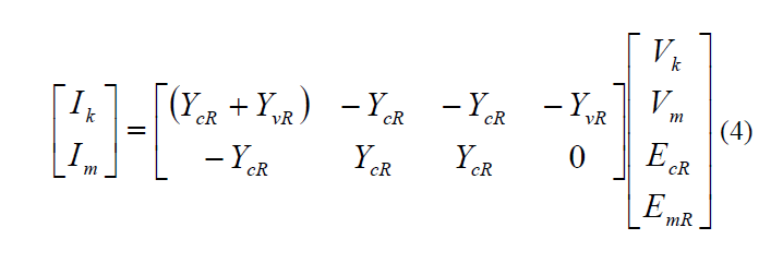
The UPFC equivalent circuit shown in Figure 3 consists of a shunt-connected voltage source, a series-connected voltage source, and an active power constraint equation, which links the two voltage sources. The two voltage sources are connected to the AC system through inductive reactances representing the VSC transformers. In a three-phase UPFC, suitable expressions for the two voltage sources and constraint equation would be:

Where ρ indicates phase quantities, a, b, and c.
Based on the equivalent circuit shown in the Figure 2, and assuming three-phase parameters, the following transfer admittance equation can be written:



Conclusion
Flexible Alternating-Current Transmission Systems (FACTS) is a recent technological development in electrical power systems. It builds on the great many advances achieved in high-current, high-power semiconductor device technology, digital control and signals gained with the commissioning and operation of high-voltage direct-current (HVDC) links and static VAR compensator (SVC) systems, over many decades, may have provided the driving force for searching deeper into the use of emerging power electronic equipment and techniques [5]. Due to the, every time higher requirements of the liability and quality of the electricity the implantation of devices capable of guaranteeing these requirements will keep increasing.
FACTS devices are improving the operation of an electric power system. The influences of such devices on steady state variables (voltage levels, transmission losses, and generating costs) are very remarkable. The benefit for each type of FACTS can be associated with its particularities and properties. They control the interrelated parameters that rule the operation of the transmission systems, including the serial impedance, the derivation impedance, the current, the voltage, the phase angle and the muffling of oscillations to different frequencies under the nominal frequency.
References
- K. Habur, D. O’Leary “FACTS-Flexible Alternating Current Transmission Systems. For Cost Effective and Reliable Transmission of Electrical Energy”, Siemens, 2004.
- M. Gómez, O. Abarrategui, I. Zamora “FACT devices in Distributed Generation”, International Conference on Renewable Energies and Power Quality (ICREPQ’06). Palma de Mallorca (Spain), April 2006.
- E. Acha “FACTS: A Modern Tool For Flexible Power Systems Interconnections”. 9th Spanish Portuguese Congress on Electrical Engineering (9CHLIE), Marbella, Spain, June 2005.
- S. Cole, D. Van Hertem, L. Meeus and R. Belmans. “The influence of renewables and international trade on investment decisions in the grid of the future”. ICREPQ’06, Palma de Mallorca, Spain, April 2006.
- E. Acha, C.R. Fuerte-Esquivel, H. Ambriz-Pérez, C. Angeles-Camacho. “FACTS. Modelling and Simulation in Power Networks”. John Wiley & Sons Ltd, 2004.
- E.Gholipour, S.Saadate. “Improvement of transient stability of power systems by using UPFC”, ICREPQ’03, Vigo 2003 (Spain).