Published by
- D. D. Sabin, Email: dsabin@electrotek.com
- T.E. Grebe, Email: tgrebe@electrotek.com
- M. F. McGranaghan, Email: markm@electrotek.com
Electrotek Concepts, Inc., 408 North Cedar Bluff Road, Suite 500, Knoxville, TN, 37932 USA, Tel: +1-423-470-9222, Fax: +1-423-470-9223
- A. Sundaram, Email: asundara@epri.com
EPRI, 3412 Hillview Avenue, Palo Alto, CA, 94304 USA, Tel: +1-650-855-2304, Fax: +1-650-855-8997
SUMMARY
This paper describes the methods for collecting, characterizing, storing, and analyzing rms voltage variation measurements during a distribution system power quality monitoring program. The measurements were collected from the primary distribution systems of 24 utilities in different geographic regions of the United States. The objectives for the site selection process are offered. The techniques for measurement triggering are explained. Novel techniques regarding the characterization of rms voltage variation quantities by resolution into measurement components are described. Key results with regard to rms variation magnitude statistics are submitted.
INTRODUCTION
This paper provides a discussion of rms voltage variations − power system disturbances characterized by a deviation in the rms value of voltage waveforms from a normal operating value. The chief causes of rms voltage variations on the distribution system are faults; less frequent causes include the switching of large loads and regulation problems.
This power quality phenomenon involves events typified by either a fall or a rise in the rms value of the system voltage. Listed in order of the probability of occurrence on a distribution system, we are interested in sags (also known as voltage dips), swells, interruptions, undervoltages, and overvoltages. IEEE Std. 1159-1995, Recommended Practice on Monitoring Electric Power Quality, provides definitions for these five terms [1]. Note that IEEE 1159 suggests that sag, swell, and interruption events should usually be used in conjunction with a modifying prefix to signify the duration of the event (i.e., instantaneous, momentary, or temporary).
An example rms voltage variation appears in Fig.1, recorded by a power quality monitoring instrument during an atypically severe instantaneous voltage sag. The voltage reduction resulted from the increased voltage drop across the power system’s impedance during an up-line fault. In the plot, the upper trace represents the rms voltage during the full duration of the measurement, while the lower trace displays one cycle of the instantaneous voltage before the measurement began followed by the ten cycles after trigger.
Sags, swells and momentary interruptions are not new phenomena; they have been characteristics of electric power systems for over a hundred years. Voltage sags were not considered a significant problem decades ago because the loads connected to electric distribution systems were generally immune to their effects. For this reason, electric utilities did not need to maintain power quality statistics to determine what was normal or abnormal. However, with the world-wide proliferation of advanced but sensitive power electronic equipment and the increasing integration of microcomputers in process control and automation, these same power system characteristics considered relatively unimportant before can now be very expensive in terms of process shut-downs and equipment malfunctions.
In order to better understand the statistics of rms voltage variations, as well as other power quality phenomena, the Electric Power Research Institute (EPRI) conducted a power quality monitoring survey of 277 monitoring locations located on the primary distribution feeder of twenty-four electric utilities across the United States [2]. Commonly known as the Distribution System Power Quality Monitoring Project, or the EPRI DPQ Project, the study spanned the period from June 1993 to September 1995. It resulted in the collection of over 6.7 million measurements now stored in a 30-gigabyte database. This paper focuses on only one component of the total monitoring effort by describing the methods used to collect, characterize, store, and statistically analyze the rms voltage variation measurements. We will also present some key statistical results from the project’s final report.

Fig.1. Example of an rms voltage variation with a minimum rms voltage magnitude of 4374 V (0.59 per unit) and a duration of 5 cycles
MEASUREMENT COLLECTION
Initial plans of the power quality monitoring program involved placing three hundred monitors on sites on the twenty-four volunteer utility systems over a two-year period. Consistent with the first objective noted above, the researchers found it necessary to select one hundred feeders from the twenty-four electric utilities that volunteered to host the project. The utility names are listed in [3]. These feeders needed to adequately represent the range of characteristics seen on distribution systems throughout the United States. This required the researchers to use a controlled selection process to ensure that both common and uncommon characteristics of the national distribution systems were well represented in the study sample. When relating the results of the study to the volunteer utility population, weighting is employed to reflect the resulting unequal sampling probabilities. The paper given in [4] provides an in-depth description of the multistage process used to select the sites for monitoring. It also provides the distribution characteristics of the sites actually selected, including length of feeder, voltage rating, type of customers, type of construction, and size of substation. Examples demonstrating the methods for using selection probabilities to weight measurements are found in the report listed in [2].
The result of the site selection process was a set of 100 primary distribution feeders in the voltage range of 4 to 33 kV. The project team decided to arbitrarily place one monitor on the line side of the feeder substations to create a subset of monitoring locations which could be identified as being distribution substations only. To still provide a level of randomness, the project team decided to place two more monitors downline of the substation on the feeder itself. This identified a total of 300 sites for monitoring. The actual number of sites at which monitors were installed by the host utilities totaled 277 on 95 feeders. The sites not installed generally were victims of individual utility budget cutbacks. However, the project’s statistician did not consider the missing sites to be of great concern since they were in the limits set by the project design.
Measurement Triggering
The power quality monitoring instrument designed for the study had eight input channels, four of which were devoted to voltage and four to current. Its sampling rate was 256 points per 60 Hz cycle for voltage and 128 points per cycle for current. Although IEEE Std. 1159-1995 defines the minimum possible duration of an rms voltage variation to be half of one cycle, the minimum duration of rms measurements possible with the project’s instrument was one cycle. It was designed to compute rms by integrating the sampled points during successive full cycles.
The power quality monitor was designed to trigger a disturbance recording to variations in both instantaneous and rms voltage. For the purposes of this paper, which focuses on rms voltage variation analysis, we will only discuss the rms triggering methods. Reference [3] provides a more detailed explanation of other triggering.
Measurement Count
Between 1 June 1993 and 1 June 1995, a total of 277 instruments recorded 107834 rms variation three-phase measurements during 146661 days of monitoring. Of these, 68% of the three-phase measurements was triggered by only one voltage phase; the voltage on the other two phases remained in the normal operating range. Another 19% was triggered by two phases, meaning that the rms voltage dropped below 0.95 pu or rose above 1.05 pu on two phases. The remaining 13% of the 107834 rms variation measurements was triggered by all three phases.
MEASUREMENT CHARACTERIZATION
With any discussion of rms voltage variation analysis, a frequently asked question is “What do you define to be an event?” The question is important because the total count of “events” would be very different if three-phase measurements were counted as three single-phase measurements. The approach the project team developed for the monitoring project was to collect small elemental components of measurements (i.e., measurement components) and aggregate them at analysis time. The word “aggregate” literally refers to the collection of units or parts into a mass or whole. Power quality data aggregation refers to the data reduction technique of collecting many distinct measurement components into a single aggregate “event” for the purpose of computing system performance indices. How the measurements were combined depended on the specific needs of a particular analysis session.
Temporal Aggregation
The goal of temporal aggregation was to collect all measurements taken by a monitoring instrument or instruments that were due to the same power system occurrence, and identify them as one event. A system event is the real-world incident that triggers any number of measurements to be recorded by a monitoring instrument. Examples include two conductors being blown together, a tree branch being brushed against one or more lines, lightning strikes, or the unfortunate act of an animal that creates an arc between part of the system and a grounded object. Other system events are planned, such as capacitor switching, and voltage reductions. The chief goal here is to create a one-to-one relationship between temporally aggregated data and power system occurrences when computing system performance indices.
A good method of obtaining the one-to-one relationship is to use time stamps. Once the first measurement has been identified, all measurements recorded by a single instrument within the next one to five minutes were considered part of the same temporal aggregate period. The time length chosen for aggregation is arbitrary. However, a one-minute aggregation time period agrees with the IEEE Std. 1159-1995 definition of the minimum length of a sustained interruption. A five-minute period concurs with the maximum length of a momentary interruption event defined by the final draft of IEEE Std. 1366-1999, IEEE Trial Use Guide for Electric Power Distribution Reliability Indices [6]. To consider the impact of voltage sags to an industrial load, some utilities have adopted a 15-minute or 30-minute aggregation period.
MEASUREMENT ANALYSIS
The measurement collection and characterization process of the monitoring project resulted in a database of single-phase measurement components, each with a number of rms voltage magnitude and duration characteristics. The project team took care to preserve as much information about the measurements without having to maintain all measured data on-line at one time. Note that the original measurements were not deleted, but rather archived on magneto-optical storage media for future investigations. The resulting database was manageable in size to facilitate any number of different statistical analyses.
Calculation of Unbiased Estimated Averages
We needed to complete several important steps in order to compute the unbiased estimated average made possible by each site’s selection probability. The calculation of any unbiased estimated average is given by (1), where Wi is the sampling weight computed for site i.

Monitor Availability
We considered another factor when computing composite statistics for the project’s measurements: monitor availability. Most rms variation power quality indices relate a rate of some sort, e.g, the number of voltage sags per thirty days. When combining indices taken from different monitoring sites, it is vital that the total time that each monitor was available is taken into account. To compute a measurement rate index, the count of measurements should be divided by the number of actual days (i.e., monitor·days) that an instrument was available rather than by the number of days between the start and end of the monitoring period. It was not unusual during the course of this monitoring project to experience periods when an instrument was off-line due to instrument calibration or malfunction. Poor data management practices can also result in missing measurements.
STATISTICAL RESULTS
Fig. 2 illustrates the project’s final results for sag and interruption magnitude rate, using one-minute temporal aggregation, for the events recorded during a two-year period (1 June 1993 to 1 June 1995). The results include the application of sampling weights and represent all project monitoring sites. Spatial aggregation was not necessary as rate data is not impacted by multiple monitors experiencing the same power system occurrence. From Fig. 3 we can say that the average site in our project experienced 1.18 incidents in which the minimum voltage during a 60-second window was between 85% and 90% of the site’s base voltage, as well as 0.38 interruption incidents (less than 10% voltage). The only events which were excluded from this plot were those in which the duration below 0.90 per unit was longer than 60 seconds.

Fig. 2. Sag and Interruption Rate Magnitude Histogram, 1-Minute Temporal Aggregation, 1/6/93 to 1/6/95, Treated by Sampling Weights, All Sites
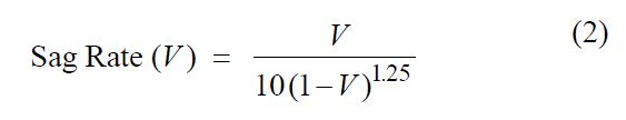
Ignoring the interruption voltages, the height of each column from Fig. 2 can be fit to a function with a surprising degree of accuracy. In (2) we present a function which we determined to be an adequate estimate of the project’s sag rate for a given voltage range. A similar equation was derived in [10] that assumed that a faulted distribution system could be modeled as a source voltage and impedance with two parallel current paths − one to a load and one to a fault. The expression derived in [10] is similar to (2).

where 0.10≤ V ≤ 0.90
Fig. 2 represents equal weighting of each of the three sites on the feeder in order to arrive at an average feeder rate. How the rates differ, between the substation and feeder sites, is important because many of the feeders in the project had reclosers installed downline from the substation circuit breaker. Since the reclosers were capable of interrupting independently of the breaker, one would expect to see more interruptions at the feeder sites than at the substation sites (which only would experience an interruption if the substation breaker or a transmission breaker operated). Table 1 summarizes the individual sag and interruption rates for substation and feeder monitors. As indicated in the table, the feeder interruption rate is approximately 140% of the substation value.
TABLE 1 Summary of sags and interruptions per Site per 365 days, 1/6/93 to 1/6/95, treated by sampling weights, all sites, One-Minute Temporal Aggregation

Another interesting question regarding interruptions involves the number of recloser/breaker operations recorded during a single event. Results for the one-minute aggregation indicate that 87% of the events involve a single operation, 9% involve two operations, 2% involve three operations, and 2% involve greater than four operations. We excluded sustained interruptions from our calculations. These rates would seem to substantiate the widely held belief that a vast majority of power system faults are temporary in nature. Fig. 3 summarizes this information.
While Fig. 2 provides valuable information regarding average sag and interruption rates, an understanding of the range on values measured at different sites is also useful. To plot a range of values, we need to identify just one value of interest. If we consider just the incidents in which the minimum voltage fell below 0.90 per unit and temporally aggregate them with a 60-second period, then we can compute an index identified in [12] to be SARFI90, which is a special case of SARFIx, an index first introduced in reference [12]. SARFIx, defined by (3), represents the average number of specified rms variation measurement events that occurred over the assessment period per customer served, where the specified disturbances are those with a magnitude less than x for sags or a magnitude greater than x for swells. SARFIx only includes IEEE 1159 short duration measurements (i.e., less than 60 seconds in duration).

where
x ≡ rms voltage threshold; possible values – 140, 120, 110, 90, 80, 70, 50, and 10
Ni ≡ number of customers experiencing short-duration voltage deviations with magnitudes above X% for X >100 or below X% for X <100 due to measurement event i
NT ≡ number of customers served from the section of the system to be assessed

Fig. 3. Number of Interruptions per One-Minute Temporal Aggregate Period, 1/6/93 to 1/6/95, Treated by Sampling Weights, All Sites
Note that the calculation of the SARFI90 index is not complete unless the number of customers impacted by the depressed voltage is known. We did not have that information available to us when computing our project results. We would have had to perform some sort of our power quality state estimation to determine the voltage sag experienced by customers throughout the systems we were monitoring. Without the added information provided by state estimation, the assessed system must be segmented so that every point in the system is contained within a section monitored by an actual power quality measuring instrument. Thus, the number of monitoring locations within the assessed system becomes the number of constant voltage segments upon which the indices are calculated. Because this process of monitor-limited segmentation (MLS) results in only a few segments per circuit, the calculated index values are less accurate than those calculated using state estimation concepts. Nonetheless, MLS still yields indices that are informative.
Fig. 4 summarizes the number of one-minute aggregate periods during which the rms voltage dropped below 0.90 pu, 0.70 pu, 0.5 pu, and 0.10 pu for each site – hence distributions of SARFI90, SARFI70, SARFI50, and SARFI10 values using MLS. Normalizing by the number of days which the site’s monitor was on-line and weighting using sampling factors resulted in a SARFI70 distribution centered at 15 incidents per year with a maximum of 82 and a minimum of 0. The mean and standard deviation were computed using ratio estimators, which means that the sites with larger sampling factors contributed more to the calculation of mean and standard deviation than the sites with smaller sampling factors. The mean and standard deviation were used to estimate the 95% confidence interval for the population of all feeders on the host utilities’ distribution systems. For Fig. 4 we can say, with 95% confidence, that the true mean rate of voltage with drops below 0.70 pu per site per year is between 14 and 20. Table 2 summarizes Fig. 4 by showing the mean rate measured at all of the project’s monitoring locations.
TABLE 2 MLS Mean for Different SARFI Values, One-Minute Temporal Aggregation, 1/6/93 to 1/6/95, Treated by Sampling Weights, All Sites

Stormy weather has long been to blame for many rms voltage variations. Strong winds often blow branches onto conductors or bring conductors together, while lightning strikes cause insulation flashover that may lead to faults. During the winter, the weight of ice and snow build-up sometimes leads to downed conductors. It should not be a surprise then to see a relationship between the seasons and sag and interruption rates.


Fig. 4. Sag and Interd 10% Voltage per Site peYear, One-Minute Temporal Aggregation, 1/6/93 to 1/6/95, Treated by Sampling Weights, All Sites

Fig. 5. Sag and Interruption Rate by Month, One-Minute Temporal Aggregation, 1/6/93 to 1/6/95, Treated by Sampling Weights, All Sites
We recalculated the data for Fig. 2, but this time separated the data by month. The resulting table was cross tabulated and plotted in Fig. 5. Clearly, peaks in sag measurements occurred during the summer periods of June, July, and August during 1993, 1994, and 1995.
To Explore Further
We also found it very important to analyze both the magnitude and the duration of rms variations. We refer the reader to [2] for a work that focuses on this two-variable examination. Additionally, recent work in characterizing voltage sags by both magnitude and phase shift is proving valuable in terms of predicting equipment sensitivity.
CONCLUSIONS
Electric utilities traditionally have been committed to supplying their customers with reliable power. However, customer needs are changing with the addition of sophisticated − but sensitive − power-electronic based end-use equipment. This industry revolution is increasing the need for a better power quality − uninterrupted, high-quality power with minimal voltage variations. Results from this project provide critical data regarding existing rms variation statistics from a study performed at a national level.
REFERENCES
[1] IEEE Std. 1159-1995, Recommended Practice for Monitoring Electric Power Quality.
[2] Electric Power Research Institute, An Assessment of Distribution System Power Quality,
[3] E. W. Gunther, H. Mehta, “A Survey of Distribution System Power Quality – Preliminary Results,” IEEE Trans. Power Delivery, vol. 10, no. 1, January 1995, pp. 322-329.
[4] L. C. Markel, C. J. Melhorn, S. R. Williams, and H. Mehta, “Design of a Measurement Program to Characterize Distribution System Power Quality,” Proceedings of the Twelfth International Conference on Electricity Distribution (CIRED’93), Birmingham, England, May 1993.
[5] IEEE Std. 1366-1999, IEEE Trial Use Guide for Electric Power Distribution Reliability Indices.
[6] D. S. Door, “Point of Utilization Power Quality Study Results,” IEEE Trans. Industry Applications, vol. IA-31, no. 4, July 1995.
[7] DISDIP Group, “Voltage Dips and Short Interruptions in Medium Voltage Public Electricity Supply Systems,” Report from the International Union of Producers and Distributors of Electrical Energy (UNIPEDE), 1990.
[8] M. H. J. Bollen, “Fast Assessment Methods for Voltage Sags in Distribution Systems,” Conference Record of the 1995 IEEE Industry Applications Society Meeting, Orlando, Florida, October 1995, vol. 3, pp. 2282 – 2289.
[9] M. B. Hughes, J. S. Chan, “Canadian National Power Quality Survey Results,” Fourth International Conference on Power Quality: Applications and Perspectives (PQA ’95), New York, New York, May 1995.
[10] D. L. Brooks, R. C. Dugan, M. Waclawiak, A. Sundaram. “Indices for Assessing Utility Distribution System RMS Variation Performance,” IEEE Trans. Power Delivery, PE-920-PWRD-1-04-1997.
[11] Bollen, M. H. J., L.E. Conrad, Gold Book Voltage Sag Working Group Members, “Voltage Sag Coordination for Reliable Plant Operation.” Conference Record of the 1996 IEEE Industry Applications Society Annual Meeting, San Diego, California, October 1996, Vol. 3, pp. 2366 – 2377.
BIOGRAPHIES
D. Daniel Sabin is a Project Manager at Electrotek Concepts, Inc. in Knoxville, Tennessee. Dan was the principal engineer for the EPRI Distribution System Power Quality Monitoring Project during its data collection and analysis stages. In addition to developing the project’s databases, he performed power quality event and statistical analysis for its monthly, quarterly, and final reports. Dan has a BS degree in electrical engineering from Worcester Polytechnic Institute of Worcester, Massachusetts and a ME degree in electric power from Rensselaer Polytechnic Institute in Troy, New York. He is the chair of the IEEE Custom Power Task Force. He is a registered professional engineer in the state of Tennessee.
Thomas E. Grebe is the General Manager of Electrotek Consulting at Electrotek Concepts, Inc. in Knoxville, Tennessee. His primary responsibilities include investigations for electric utilities in the areas of power system and power quality analysis. He served as Electrotek’s project manager for the EPRI Distribution Power Quality Project. His engineering efforts have focused primarily on power system modeling and analysis using the Electromagnetic Transients Program. Tom is a member of IEEE and is actively involved in various working groups including serving as secretary of the digital transients programs working group. Prior to joining Electrotek, Tom worked in the System Protection Department of Virginia Power. He received his BS degree in Electrical Engineering from the Pennsylvania State University in 1984 and is a registered professional engineer in the state of Virginia.
Mark F McGranaghan is a General Manager of Power Systems Engineering at Electrotek Concepts. He is responsible for a wide range of studies, seminars, and products involving the analysis of power quality concerns. He has worked closely with EPRI, electric utilities, and end users throughout the country performing case studies and monitoring projects to benchmark power quality levels and to characterize power quality problems and solutions. These include industrial and commercial power quality, harmonics, transients, measurements, voltage sags, power conditioning, adjustable speed drive applications, power factor correction, and power quality concerns for energy management.
Ashok Sundaram is a Manager of Power Electronics projects in the Energy Delivery and Utilization Division of EPRI in Palo Alto, California. He served as EPRI’s project manager for the Distribution System Power Quality Monitoring Project. Ashok received a BSEE degree from the University of Madras, India, in 1978, an MSEE from Southern Illinois University in 1984. He has also completed his course requirements for his Ph.D. in Electrical Engineering. He is a member of the IEEE.