Published by MEKKAOUI Ali1, LAOUER Mohammed2, YOUNES Mimoun1,
University of Sidi Belabes, Algeria (1), University Center of Naama, Algeria (2)
Abstract. Smart grids are essentially characterized by reliability and energy efficiency so we can optimize the performance of the electrical system to ensure safe and reliable operation. This paper discusses smart grids in a future generation context and to value this goal, we consider a new model of hybrid system combining solar and wind energy. In order to automate and ensure a wide distribution of the transmission and distribution network we will consider the bidirectional transfer of electricity and information solution. Our task in this work is to envisage an electrical power system connected to different consumers who can themselves produce electrical energy. Renewable energies will be present both at the level of the network in general and the subscribers which will allow a power exchange between the different actors.
Streszczenie. W artykule analizowano sieć typu smart grid nowej generacji będącą hybrydą energi fotowoltaicznej i wiatrowej. Uwzględniono możliwość dwukierunkowego transferu energii. Uwzględniono też różne typy odbiorców, w tym także tych wytwarzających energię. (Wymiana mocy w sieci typu smart grid z odnawialnymi źródłami energii)
Keywords: Active power, Renewable energy, Smart grids, Optimization.
Słowa kluczowe: sieć typu smart grid, odnawialne źródła energii
Introduction
The limits of global fossil and nuclear fuel resources have prompted an urgent search for alternative sources of energy. Therefore, a new way to balance supply with demand is needed without the use of coal, gas or other generators. The smart grid will therefore play the role of an important system that will integrate renewable energy sources and move from dependence to fossil fuels, while respecting the balance of power produced and consumed.
The state of balance between production and consumption in current power systems must be checked at all times and in all places. Except that to be done, we will be in the obligation to control the transit of powers at any point of the network. The increased demand of power and the unexpected extension of the network disrupt the exchange of powers in real time. Is there a way to control, check and finally make the decision to ensure better management of electrical energy without there being a major failure? Otherwise, the system will be in a critical or even catastrophic situation. The answer to this question is implicitly given by using Smart Grids.
The Smart Grids provide the ideal solution to our problem, although they are a very interesting variant of energy saving. The conventional system must be modified because other components will appear and add to the existing power system to make it more complex and difficult to manage. The Smart Grids community relies on three different systems that provide unidirectional management from upstream to downstream. To know:
• The conventional and renewable energy generation systems,
• The local system,
• The transversal system.
The latter, is very important because it consists of active distribution networks and transport, controlled and adjusted in real time between supply and demand for energy.
The combination of these three systems is therefore the smart grid and responds to the priorities of the new electricity economy that can be summarized into three major conventional, renewable use values and the demand of the local system.
In addition, the following actions must be fully required:
• The integration of renewable and intermittent energies and new electrical uses,
• The flexibility of production and consumption for the reduction of the electric tip,
• Two-way flow of information and energy flows between the three system levels.
The future Smart Grid power grid is a dynamic network that aims at two-way power transit, largely linking small-scale renewable energy production systems at the consumer level and the larger electric power generation grid, thereby facilitating customer participation in energy management generation (consumption / consumption) in real time while raising the optimal performance of the operation of the power system [1]. Frequency and active power are the main parameters showing the stability of any conventional power grid [2]. The conventional power grid and computer and communication technologies are combined to control the active power flow to have a stable, reliable and efficient power grid.
Description and modelling of the hybrid system wind / solar
Regarding the wind system
Many studies have reported on this system and in particular the wind turbines [3]. The wind turbine model selected considers the characteristics of the wind speed as a function of the power output. The latter is given by [4- 5]:

where Pm is the mechanical output power of the turbine, Cp is the performance coefficient of the turbine, λ is the tip speed ratio of the rotor blade, β is the blade pitch angle, ρ is the air density, A is the turbine swept area and Vwind is the wind speed.
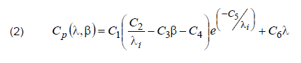
The model of performance coefficient Cp (λ,β) is taken from [4] and given by:

Where: constants C1 to C6 are the parameters that depend on the wind turbine rotor and the blade design, λi is a parameter given in (3).

So, Equality (1) can be normalized and simplified for specific values A of λ and as in (4):

where Pm_ pu is the power in per unit of nominal power for particular values A of λ , Vwind _ pu is the power gain of the base wind speed and Cp _ pu is the performance coefficient.
The based wind speed is the mean value of the expected wind speed in m/s .
Regarding photovoltaic system
For more than 30 years [6], the model of the photovoltaic system recommended is to consider the circuit consisting of a photo-current, a diode, a parallel resistance (leakage current) and a series resistance; the assembly is represented in Fig. 1. By applying Kirchhoff laws on the circuit, we can deduce the voltaic current which is given by [7]:

where Ipv is the photovoltaic current, IGC is the light generated current, Io is the dark saturation current dependent on the cell temperature, e is the electric charge e = 1.6*10-19 C , Vd is the diode voltage, K is the Boltzmann’s constant K = 1.38*10-23 J/K , F is the cell idealizing factor, Tc is the cell’s absolute temperature, Rp is the parallel resistance.
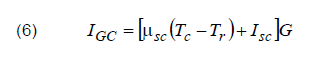
Knowing, on the other hand, that the photo-current depends essentially on the solar irradiation and the temperature of the cell, given by [7].


where μsc is the temperature coefficient of the cell’s short circuit current, Tr is the cell’s reference temperature, Isc is the cell’s short circuit current at a 25oC and 1KW/m2 , G is the solar irradiation in KW/m2 .
Furthermore, the cell’s saturation current varies (Io) with the cell temperature, which is described as [6]:


where Ioα is the cell’s reverse saturation current at a solar radiation and reference temperature, Vg is the band-gap energy of the semiconductor used in the cell and Voc is the cells open circuit voltage.
Intelligent energy management systems
When a network has the capacity to effectively manage the actions undertaken by all the actors involved in the exchange of electrical powers (producers / consumers) and to ensure at the best of times a competitive electricity price, will talk about the smart grid. The main objective to achieve is to have low losses and a better quality of electrical energy. Such a network must include a smart meter, a smart home, a city server, and main server [8- 9].
Smart metering
The smart meter is the important component in the smart grids [10]; it consists of a bidirectional telecommunication subsystem to an information tele collection center. Its construction technology permits automatically to collect diagnostic data, consumption, available energy metering and transfer of this data to a central database [11].
Town server
For better management of electrical energy, the smart grids must be equipped with a city server. It will now have the ability to make any decision concerning all of its users through a central computer. To communicate with the primary server, it uses the public telephone network energy. It consists of a central computer and a complete server, capable of making decisions for all its users. It uses the public switched telephone network to communicate with the main server [12- 13].
Main server
It communicates in bidirectional way with smart home meters. Once the data is collected, It must be processed to validate it and finally stored in a central database [14- 15].
Analysis and control of active power
The collection of the energy consumption information of a smart home by the smart meter is sent to the command and control center [16]. The data generated by the smart meter is transmitted to a data aggregation. This aggregator could be an access point or gateway. The public electricity service or the distribution station and the intelligent communication is responsible for the transmission of the collected data. Fig. 2.

We can illustrate our study from a global diagram showing the different elements of a smart grid involved in the exchange of electric powers, as shown in Fig.3.

Results and discussion
Our goal is to consider an electrical power system connected to the different consumers who themselves can generate electrical power. Renewable energies will be present both at the level of the network in general and the subscribers.

The 24-hour extended load curve of house 1 is described in Fig. 4 (red color). The power exchange with the outside is represented by the residual power curve resulting from the difference between the power delivered by the wind turbine of the house 1 of the order of 4 kW and its power consumption (green color). Based on simulation results, we note the following situations:
• Between 00 h 00 and 06h 00 the house1 consumes a power of 0.5 KW, remains autumn and gives a residual power of 3.5KW to the electrical grid.
• A first peak appears around 6:00 am until 8:00 am reaches a value of 3KW; the house 1 is still isolated and provides the power grid with a power surplus of 1KW.
• Between 08h00 and 12h:00 the house consumes a power of 1KW and injects to the electrical system a surplus power of 3KW.
• A second peak reappears around 12:00 pm until 02:00 pm reaching a value of 2KW which reduces the surplus power to 2KW. The latter increases and holds a value of 3KW between 02:00 pm and 7:00 pm.
• A third bigger peak appears around 7:00 pm until 23h: 00 reaching a value of 5KW thus exceeding the production capacity of house 1. The difference is ensured by the electrical grid.

The exchange of electrical power between house 1 and house 2 is possible because house 1 has a residue of power. The charging curve of house 2 is in red, the power delivered by the house 1 is in green and the additional power supplied by the electric network in blue.
Based on simulation results, we note the following situations in Fig. 5:
• Between 00h00 and 08h:00 the house 2 consumes a power of 1KW provided by the house 1 thus reducing the surplus of the house 1 the remainder of which is made available to the need.
• At 8:00 am the consumption of house 2 increases and reaches a value of the order of 2KW which will always be powered by the house 1.
• A peak consumption is observed at 19h00 until 23h: 00 which involves the power grid to satisfy the electrical energy demand of the house 2.

The extended load curve over 24 hours of the house 3 is given by Fig. 6 in red color. The power exchange with the outside is represented by the residual power curve (in green color) which results from the difference between the power delivered by the solar energy of 4KW and the power consumed by the house 3. According to The results of simulations, we note the following situations:
• Between 00:00 and 06:00 in the morning house 3 consumes a power of 0.5 KW which is delivered by the electricity grid.
• The presence of the first peak from 06h: 00 to 08h00 of the order of 3KW is ensured by the electricity grid.
• The sun makes its appearance from 08h 00, at this moment the house 3 consumes a power of 1KW which will be delivered by its solar energy. Then house 3 remains autumn and gives a residual power of 3KW until 19h: 00.
• A second consumption peak of 6KW is observed from 20h 00 until 23h00, which involves the power grid to satisfy the energy demand of the house 3.

Fig. 7 shows the load curve (red color), the curve of the solar energy produced by the house 3 (green color) and finally the curve of the electricity network (blue color).
Based on simulation results, we note the following situations:
• Between 00h00 and 06h: 00 the house 4 consumes a power of 1KW which is delivered by the electrical network.
• A first peak appears from 06h00 to 08h:00 reaching a value of 4KW but always ensured by the electricity grid.
• From 08:00 to 19:00 the house 4 is fueled by the energy coming from the house 3 despite the presence of the second peak of consumption which is of the order of 3 KW.
• A third peak of consumption is observed at 20:00 until 23:00 which of the order of 6KW this energy is supplied by the electrical network.
Conclusion
It is very interesting to understand the transfer and the exchange of electrical energy between the different actors participating in this action. This article clearly explains the integration of renewable energies into the conventional electricity grid for better and intelligent management of home energy. The simulation of such a system consisting of houses and the existing electricity network has provided the answer, so long awaited, explaining the interest brought by the smart grid. Our simulation clearly explains the contribution of the houses in the network stability in the sense of its relief in case of the strong demand. Thus, we can conclude that smart grids offer a radical solution to the reliable and continuous operation of the entire system.
REFERENCES
[1] Molderink, A. Bakker, V. Bosman, M.G.C. Hurink, J.L. Smit, G.J.M, “Management and Control of Domestic Smart Grid Technology, ” IEEE Transactions on Smart Grid , (2010), vol.1, Issues 2, pp. 109-119
[2] Anvari-Moghaddam A., Monsef H., Rahimi-Kian A., Optimal Smart Home Energy Management Considering Energy Saving and a Comfortable Lifestyle, IEEE Transactions on Smart Grid, (2015), 6, pp. 324-332
[3] Hamidi, V., Smith, K.S., Wilson, R.C., Smart Grid technology review within the Transmission and Distribution sector IEEE PES Innovative Smart Grid Technologies Conference Europe, (2010), pp. 1-8
[4] Jinsoo Han, Haeryong Lee, Kwang-Roh Park, Remotecontrollable and energy-saving room architecture based on ZigBee communication, IEEE Transactions on Consumer Electronics, (2009),Vol. 55, Issues 1, pp. 264-268
[5] Muljadi E., Butterfield C.P., Pitch-controlled variable-speed wind turbine generation, IEEE Trans. Industry Appl, (2001), vol. 37, pp. 240–246
[6] Jaradat M., Jarrah M., Jararweh Y., Al-Ayyoub M., Bousselham A. Integration of Renewable Energy in Demand-Side Management for Home appliances, International Renewable and Sustainable Energy Conference (IRSEC). Ouarzazate, (October 2014), pp. 571-576
[7] Missaoui R., Joumaa H., Ploix S., Bacha S, Managing Energy Smart Homes According to Energy Prices: Analysis of a Building Energy Management System, Original Research Article Energy and Buildings, (2014), 71, pp. 155-167
[8] Battista H. De, Mantz R.J., Garelli F., Power conditioning for a wind-hydrogen energy system, Journal of Power Sources, (2006), vol. 155, pp. 478-486,
[9] Rashid Rozeha A., Sarijari Mohd Adib, Mohd Rozaini Abd Rahim, Tan Zun Yung, Flood Transmission based Protocol for Home Automation System via Power Line Communication, Proceedings of the International Conference on Computer and Communication Engineering, (2008)
[10] M. Navid-Ur-RehmanRao, Zubair Ahmed, Faroqi Adnan, Model of Smart System Based On Smart Grid, Smart Meter and Wireless Based Smart Appliances, IOSR Journal of Electrical and Electronics Engineering, (2012), 1(5), pp. 6-10
[11] Garner G, Designing Last Mile Communications Infrastructures for Intelligent Utility Networks (Smart Grids), IBM Australia Limited, (2010)
[12] Kara Saul-Rinaldi, Robin LeBaron and Julie Caracino, Applications of Smart Grid and Smart Home Technologies for the Home Performance Industry, National Home Performance Council, (May 2014), pp. 3-4
[13] Seyedi H. Sanaye-Pasand M, New centralised adaptive load shedding algorithms to mitigate power system blackouts Generation, Transmission & Distribution, lET, (2009), 3(l), pp.99-114
[14] Gungor V. C., Bin Lu, Hancke G. P, Opportunities and Challenges of Wireless Sensor Networks in Smart Grid, IEEE Transactions on Industrial Electronics, (2010), 10, pp. 3557-3564
[15] Shahid Bilal, Zubair Ahmed, Faroqi Adnan, Navid-ur- RehmanRao M., Implementation of Smart System Based on Smart Grid Smart Meterand Smart Appliances, International Conference on Smart Grid Systems (ICSGS 2012) IPCSIT, vol.45 © (2012) IACSIT Press, Singaporen
[16] Moslehi K., Kumar R., A Reliability Perspective of the Smart Grid. Smart Grid, IEEE Transactions on Smart Grid, (2010), l(1), pp. 57-64
Authors, Ali Mekkaoui, Pr. Younes Mimoune, University of Sidi Belabes, Algeria and Pr. Mohammed Laouer, University Center of Naama, Algeria, Email: mekkaouiali70@gmail.com, younesmi@yahoo.fr laouer@yahoo.fr
Source & Publisher Item Identifier: PRZEGLĄD ELEKTROTECHNICZNY, ISSN 0033-2097, R. 96 NR 12/2020. doi:10.15199/48.2020.12.17