Published by Alessandro Ferrero, Dipartimento di Elettrotecnica – Politecnico di Milano – Piazza Leonardo da Vinci 32 – 20133 Milano – Italy
Abstract – The proliferation of non-linear and time-variant loads is causing a number of disturbances on the electric network, from a more and more significant distortion of both currents and voltages, to transient disturbances on the supply voltage. In this respect the electric network behaves as an “healthy carrier” of disturbances, so that a disturbance generated by one customer can be distributed to other customers, causing possible damage to their equipment. The measurement of the quality of the electric power in a network section is therefore becoming an impelling need, especially in a deregulated electricity market, where each actor can be responsible for the injection of disturbances. However, there are still some respects of power quality measurement, from both the methodological and instrumental point of views, that are still unsolved and require to be carefully analyzed. The paper gives a survey of these problems and some indications about the present trends of the research work in this field.
Keywords: Electric power quality; Non-sinusoidal systems; Measurement of distorted quantities.
1. INTRODUCTION
The “power-quality problem” has been known since the beginning of the ac energy transmission and distribution, although this term is relatively recent. It was soon clear that, for a given supply voltage and a given active power, the current might be higher than the value associated with that voltage and power. The concepts of apparent and reactive power and that of power factors were introduced in order to quantify this phenomenon: the first “quality index” was defined.
As far as the sinusoidal conditions are kept and the supply is considered ideal, the power-quality concept is confined to a “loading-quality” concept, since the responsibility for decreasing the power factor is fully assigned to the load. However, as soon as the electric energy has been employed to feed the great industrial applications a different phenomenon burst: the power of some loads became comparable with the power of the supplying system. Therefore, changes in the load consumption reflected into voltage drops on the equivalent source impedance that were no longer negligible with respect to the supply voltage.
If the loads are slowly variable, the supply voltage variations can be easily controlled with the voltage regulators. On the contrary, when the loads become rapidly variable (arc furnaces, soldering plants, …) new phenomena arise on the supply voltage, such as sags, swells, notches, flicker. The problem is no longer a “loading-quality” problem, but turns into a “supply-quality” problem.
Until the loads injecting disturbances were few, known, generally large-power loads, it was possible to filter out the disturbances at the load site, and prevent them to travel along the network.
In more recent years, the development of high-quality, low-cost power electronic components has led to a very rapid diffusion of non-linear, time-variant loads, spreading from low-power domestic appliances to low and high-power industrial applications.
New steady-state disturbances, such as harmonic and interharmonic components, and transient disturbances appeared on the line-current, causing several phenomena, ranging from an increase in the losses and voltage drops to EMI both on the other loads and the communication systems.
The overall power of such distorting loads connected to the supply network may be once again comparable with the power of the supply system (that does not generally show a constant source equivalent impedance with frequency) and therefore the supply voltage is distorted too by harmonic and inter-harmonic components, and disturbed by sags, swells, notches. Again, a “loading-quality” problem becomes a “supply-quality” problem.
In a typical network structure like the one shown in Fig. 1, where different loads, belonging to different customers are connected to the same Point of Common Coupling (PCC), the disturbances injected by one load are distributed to all other loads by the disturbances that arise on the supply voltage. A linear, time-invariant load may be forced to consume a distorted current, some flicker may appear on the lighting system, interference may appear on the electronic control apparatus and so on. The electric network is now behaving as an “healthy carrier” of load generated disturbances: the “loading-quality” problems, together with the “supply-quality” problems, are now causing “power-quality” problems.

As far as the “loading quality” and the “supply quality” are concerned, recommendations have been issued by the Standard Organizations both to limit the injection of harmonics [1 – 4] and to define the characteristics of the voltage supplied by public networks [5 – 7]. Definitions of power-quality related terms are also given [8]. However, these recommendations appear to be still insufficient to ensure the solution of the “power quality” problems. In fact, it should be considered that, when the supply voltage is distorted (and possibly unbalanced, in three-phase systems), a customer may not be totally responsible for the harmonic and unbalance current components flowing in its loads. Ethical and legal issues, other than technical ones, are involved, when setting allowable limits [9], since the source responsible for injecting the disturbances should be first of all detected.
The main issue, when dealing with “power quality”, is therefore that of detecting the source, or the sources, injecting the disturbances and quantifying the effect of such disturbances on the power quality. The next sections will discuss the technical respects of this problem, both from the methodological point of view and that of the measuring equipment.
2. THEORETICAL BACKGROUND
The power theory of the ac electric systems and circuits has developed, during the last century, under the strong constraint of sinusoidal waveforms. When disturbances are superimposed to the sinusoidal voltage and current waveforms, and particularly when such disturbances are steady-state disturbances, that constraint cannot be considered any longer. Consequently, all conventional quantities and factors usually employed in the energy characterization of the electric systems under sinusoidal conditions, such as the reactive and apparent powers and the power factor, lose most of the properties they have under sinusoidal conditions. This leads to a dramatic and misleading loss of information [10] when they are used in power-quality assessment.
In order to avoid these problems, the non-sinusoidal conditions should be theoretically reconsidered, starting from the mathematical bases of the electromagnetism and circuit theory, in order to describe the physical behaviour of an electric system under non-sinusoidal conditions in terms of a suitable set of equations and mathematical relationships that relate voltages, currents and physical properties of the system elements. At the Author’s knowledge, very few attempts have been published that try to give a general answer to this basic problem[11-13].
Nevertheless, several attempts were made, in the past, to extend to the non-sinusoidal systems concepts and definitions typical of the sinusoidal systems [14-18]. These attempts were mainly concerned with the solution of particular problems, typically the compensation of non-active current components and, in some cases, have been proved to be not totally correct from the physical point of view [19].
More recently, a more in-depth investigation into the power phenomena has been proposed by several Authors [12, 13, 21- 31], so that these phenomena are now more clearly described than in the past, although a generally accepted, comprehensive theory of the power phenomena under non-sinusoidal conditions is not yet available. A good, extensive survey of the scientific work done in this field is represented by the issues of the ETEP journal [32-36] dedicated to the contributions presented during five “International Workshops on Power Definitions and Measurements under Non-Sinusoidal Conditions” (Como, Italy, 1991, Stresa, Italy, 1993, Milano, Italy, 1995, 1997 and 2000).
A second critical point that must be considered when discussing about power quality measurement regards the evaluation of the measurement uncertainty in the presence of heavily distorted signals. Up to a recent past, only the behaviour of the active and reactive energy meters in the presence of distorted waveform conditions was widely discussed [37-39]. However, the power quality indices that have been more recently proposed require complex measuring systems for their measurement. The evaluation of the measurement uncertainty, according to the recommendation of the ISO Guide [40], is still an open problem.
All above referenced contributions represent a theoretical background wide enough, if properly applied, to allow a correct approach to power-quality definition and measurement.
3. POWER-QUALITY INDICES
The first, obvious, though not easy step towards power quality measurement is the definition of power-quality indices able to quantify the deviation from an ideal reference situation, quantify the detrimental effects of this deviation and identify the source generating these detrimental effects.
A quite natural way seems to be the extension to the non-sinusoidal conditions of the indices employed under sinusoidal conditions, such as the power factor and the Total Distortion Factor (THD), together with a discussion of their limits when the sinusoidal conditions are left.
In order to extend the definition of the power factor, the apparent power must be considered too. Its extension to the non-sinusoidal conditions is quite immediate for single-phase systems; on the contrary, several different definitions are available in the literature [41] when three-phase systems are considered. The following one, due to Buchholz [42], is receiving increasing acceptance in the scientific community, though it is not endorsed by several Standards:

where UΣ and IΣ are the voltage and current collective rms values respectively and are defined as:

ULj and ILj being the rms values of the zero-sum line voltages and the line current respectively, n the number of wires of the system. If the total active power is defined as:

where T is the period of the voltage and current waveforms, the power factor can be still defined as the ratio between the active power and the apparent power (1):

The power factor (3) can be still considered a power-quality index, though it loses the property of fully qualifying the load. Under non-sinusoidal conditions it only represents an index of conformity of the line current waveforms to the line voltage waveforms.
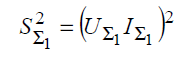
It can be easily proven that also the Distortion Factors only show the conformity of the line voltages and currents to sinewaves. In fact, for the three-phase systems, the global voltage and current THD factors can be defined as:

where UΣ1 and IΣ1 are the collective rms values of the fundamental frequency components of the line voltages and currents respectively. According to the given definition, factors (4) act as nonconformity indices of the line voltage and current waveforms to sinewaves, no matter if these sinewaves are balanced or not.
Since it has been proven that the harmonic components and the sequence components, in three-phase systems, have similar effects from the power-quality point of view and can be considered as the components of a generalized Fourier decomposition [28], the factors defined in (4) can be modified, in order to keep into account the effects of the unbalance components too, as:

where UΣ+1 and IΣ+1 are the collective rms values of the fundamental frequency, positive sequence components of the line voltages and currents respectively.
It can be readily checked that the factors defined in (5) act as nonconformity indices of the line voltage and current waveforms to positive sequence sinewaves.
The comparison between the values assumed by (4) and (5) allows to establish whether the responsibility for the electrical pollution is mostly due to the presence of distortion or to the presence of unbalance.
All above quantities, however, are not useful in establishing whether the load or the supply are responsible for the power quality deterioration, since they can only provide an estimate of conformity to given reference conditions, where, according to [1- 9], the term “conformity” denotes “the fulfilment of specified requirements”.
An attempt to find more useful indices has been proposed by the IEEE Working Group on Non-sinusoidal Situations [39] with the following resolution for the apparent power (1):

where UΣH and IΣH are the collective rms values of the harmonic components of voltage and current respectively.
Although the quantities:

and:

are introduced, it can be immediately checked that:

This approach, therefore, does not provide any additional information to the one associated with the THD factors and is useless in identifying the sources producing distortion.
Some information about the location of the source producing distortion is provided by the ratio:

since a linear, balanced load is expected not to amplify the distortion of the current, with respect to that of the voltage, whilst a non-linear or unbalanced load is expected to. However index (7) is sensitive to resonance too, so it cannot discriminate between distortion and resonance effects.
The search for more effective approaches has led, recently, to focus on the analysis of the energy flowing in a network section [22, 43]. This analysis shows that, under distorted conditions, active power components associated with the harmonic and negative sequence components of voltages and currents arise that flow backward from the load to the generator, and dissipate in the generator source impedance. This phenomenon can be explained by considering the non-linear loads as “converters”, which draw active power at the fundamental frequency and positive sequence, and give back part of it at different frequencies and sequences.
According to the above considerations, the active power PΣ in the metering section of a three-phase circuit can be resolved as:

PΣ+1 is the active power generated by the sinusoidal, balanced ideal supply. The other terms in (8) represent active powers delivered to the load and generally dissipated if the supply is distorted and/or unbalanced, or reflected backward and dissipated in the equivalent source impedance if the load is non-linear, time-variant and/or unbalanced.
A first supply and loading quality index can be hence defined as [44]:

It can be readily checked that, when the distortion and/or unbalance of the supply prevail over the load distorting and unbalancing effects, ξslq > 1. On the contrary, when the load distorting and/or unbalancing effects prevail over the supply voltage distortion and/or unbalance, ξslq < 1.
A second power-quality index has been proposed [45]:

where IΣL is the vector of the collective rms values of the harmonic and sequence components associated with active powers reflected backward from the load to the source, and IΣS is the vector of the collective rms values of the harmonic and sequence components associated with active powers flowing from the source towards the load. The higher is the value assumed by (10), the higher is the load contribution to distortion.
Both indices (9) and (10) may provide incorrect information under practical conditions [46] when compensation effects arise between the harmonic power components injected by the supply and those reflected by the load and when the harmonic active powers are close to zero, due to a phase shift close to π/2 between the harmonic components of voltage and current, despite the presence of large harmonic current components.
Providing incorrect indications is a common flaw of all synthetic indices obtained from measurements done in a single metering section. These indices are somehow doomed to fail, since an electric system under non-sinusoidal conditions has a theoretically infinite number of freedom degrees [11], and therefore its state cannot be fully determined by means of a single index or quantity.
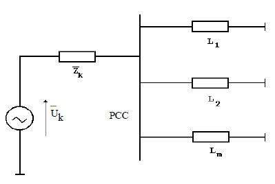
In order to overcome this problem, a new index has been recently proposed [47, 48], based on multi-point measurements of indices (7), (9) and (10). For each line k leaving a PCC, this index can be defined as:

where subscript k refers to a line leaving the PCC and subscript s refers to the line supplying the PCC.
This index is based on the consideration that, when indices ξHGI and η+ are evaluated for each line connected to the same PCC, the ratio of one index measured on one of the lines leaving the PCC with the same index measured on the line supplying the PCC increases if the disturbances are injected by the load connected to the line, while it decreases if the disturbances are injected by the supply. The opposite occurs when the ratio of indices ξslq is considered.
Index (11) averages the above ratios, and is expected to compensate the different reasons that cause each single index to fail in assessing the responsibility for the injection of disturbances. When υk > 1, the load connected to line k is injecting disturbances in the network. When υk < 1, line k is disturbed.
The capability of index (11) to identify the sources producing distortion and quantify the amount of injected disturbances has been tested both theoretically, by simulating its evaluation on the IEEE industrial test system proposed by the IEEE Task Force on Harmonic modelling and simulation [48] and experimentally, by means of measurements carried out on a small low-voltage network, supplying the machine shop of the Department of Electrical Engineering of the Politecnico di Milano University [47].
Figs. 2a and 2b show the schematic of this network and the plot of index (11) tracked for about 3 hours, under different operating conditions of the network. The location of the measuring systems is shown by the S blocks in the schematic of Fig. 2a. Both the simulation and experimental results appear quite interesting and encourage to further investigate the multi-point measurement approach.
4. THE MEASUREMENT PROBLEMS
Up to the present days, the discussion about power quality in the electric systems under non-sinusoidal conditions has dealt mainly with the definition of suitable theoretical approaches and indices. This is quite natural since, before measuring anything, the exact meaning of what is going to be measured should be understood.

When the practical issues of measuring the defined quantities and indices began to be considered, it was soon clear that the traditional instruments (mainly active and reactive energy meters) used under sinusoidal conditions to evaluate the energy consumption, both from a quantitative and “qualitative” point of view, were inadequate [37, 38].
This inadequacy involves also the traditional electromagnetic current and voltage transformers, as well as the capacitive voltage transformers, used in High Voltage systems, whose bandwidth is too narrow to allow a correct transduction of the distorted signals.
This problem can be overcome, if the electronic transducers are used, based on zero-flux current transformers for the current transducers, and electro-optical techniques for the voltage transducers [49-51]. Several solutions have been proposed and are already commercially available.
As far as the measurement method is concerned, most of the newly defined indices, such as (7), (9), (10) and (11), require an extensive processing of the input signals to be determined: index (10), for instance, requires a Fourier Transform of both voltages and currents, and the evaluation of the active power associated with each voltage and current component. This kind of processing can be obtained only if the new, modern, DSP-based instruments are employed.
From a mere technical point of view, this is not a problem, since the available DSP-based structures perform the Analog-to- Digital conversion and the subsequent digital processing fast enough to allow a real-time evaluation of all above mentioned indices with the required resolution. Distributed measurement systems can be also implemented in a relatively simple way, so that the evaluation of indices based on multi-point measurements, such as (11), can be obtained [47].
The most critical problem, with the DSP-based systems that process complex measurement algorithms, is the uncertainty estimation. At this stage of the research on the electric systems under non-sinusoidal conditions, this is not only a mere metrological problem, but has also a large implication on the theoretical analysis. In fact, it should be always kept into account that no information can be obtained about the practical utility of any proposed theory until the defined quantities can be measured and the measurement uncertainty is known. In other words, the validity of any theoretical approach that is aimed at identifying a physical phenomenon and providing quantitative information about it is limited by the uncertainty with which the quantities employed to describe that phenomenon can be measured.
The reference document for expressing the uncertainty in measurement is the well known ISO Guide [40]. The Guide follows a probabilistic approach to the uncertainty, where the uncertainty itself is expressed as a standard deviation. In the recent years, this approach has been more and more questioned, since its application may become quite troublesome when the uncertainty of measurement based on complex DSP algorithms has to be estimated.
Several proposals are available in the recent literature to overcome this kind of problems. Some of them are still based on a probabilistic approach [52-55], while some others are looking for different, innovative mathematical approaches, such as the theory of the evidence and the fuzzy mathematics [56-59].
All the mentioned approaches are too complex to be considered in this short survey. It is however worth while to note that the research activity in the measurement field is eagerly considering the power-quality measurement problems and the characterization of the power-quality instruments as a challenging problems, and several answers have already been provided.
5. CONCLUSIONS
The considerations reported in the above sections allow for drawing a few conclusions about the present achievements and the future trends in the field of power-quality monitoring.
• The theoretical background is wide enough to allow a good analysis of the power quality in the presence of non-sinusoidal conditions, although a generally accepted approach for describing the behaviour of the electric systems under non-sinusoidal conditions has not yet been developed.
• Several indices have been proposed to detect the deviations from the reference ideal conditions that lead to power-quality problems.
• The analysis of the direction of the active power components associated with the harmonic and sequence components of voltages and currents has been proposed as the most effective tool for the identification of the sources producing distortion and unbalance.
• The use of a single index was proved to be not sufficient for power-quality assessment. The most recent developments of the research activity are oriented towards the use of indices obtained from multi-point measurements performed in different metering sections of the electric system.
• The presently available digital instrumentation is suitable for measuring the newly defined quantities and indices with good accuracy and at a reasonable cost.
• The true present challenge, is making the measurement uncertainty evaluation of the DSP-based instrument less troublesome than it presently appears if the recommendations of the ISO Guide [40] are strictly applied.
REFERENCES
[1] IEEE Standard 519-1992, IEEE Recommended practices and requirements for harmonic control in electrical power systems.
[2] IEC 61000-3-2, Electromagnetic compatibility (EMC) – Part 3-2: Limits – Limits for harmonic current emissions (equipment input current <= 16 A per phase), 1998.
[3] IEC 61000-3-4, Electromagnetic compatibility (EMC) – Part 3-4: Limits – Limitation of emission of harmonic currents in low-voltage power supply systems for equipment with rated current greater than 16 A, 1998.
[4] IEC 61000-3-6, Electromagnetic compatibility (EMC) – Part 3: Limits – Section 6: Assessment of emission limits for distorting loads in MV and HV power systems, 1996.
[5] IEC 61000-3-3, Electromagnetic compatibility (EMC) – Part 3-2: Limits – Limitation of voltage fluctuations and flicker in low-voltage supply systems for equipment with rated current <= 16 A, 1994.
[6] IEC 61000-3-5, Electromagnetic compatibility (EMC) – Part 3: Limits – Section 5: Limitation of voltage fluctuations and flicker in low-voltage power supply systems for equipment with rated current greater than 16 A, 1994.
[7] EN 50160, Voltage characteristics of electricity supplied by public distribution systems, CENELEC November 1994.
[8] IEEE Standard 1159-1995, IEEE Recommended practice for monitoring electric power quality.
[9] A.J. Berrisford, “Should a utility meter harmonics?”, Proc. of the IEE 7th CMATES, November 1992, Glasgow, U.K., IEE Conf. Pub. n. 367, pp. 86-89.
[10] G. Carpinelli, A. Testa, “Power quality indices and loss of information risk”, IMEKO TC-4 Symposium on Development in Digital Measuring Instrumentation, Naples, Italy, 1998.
[11] L. S. Czarnecki, “Power theory of electric circuits: common data base of power related phenomena and properties”, ETEP, vol. 4, n.6, 1994.
[12] Z. Čakareski, A. Emanuel, “Poynting vector and the quality of electric energy”, ETEP, vol. 11, n. 6, 2001.
[13] A. Ferrero, S. Leva, A. P. Morando, “An approach to the non-active power concept in terms of the Poynting-Park vector”, ETEP, vol. 11, n. 5, 2001.
[14] C. I. Budeanu, “Puissances reactives et fictives”, Inst. Romain de l’Energie, Bucharest, Rumania, 1927.
[15] S. Fryze, “Active, reactive and apparent power in circuits with non sinusoidal voltage and current”, (in Polish), Przegl. Elektrotech. , n.7; ibid., n. 8, 1931; ibid., n. 22, 1932.
[16] W. Shepherd, P. Zakikhani, “Suggested definition of reactive power for nonsinusoidal systems.”, Proc. Inst. Elec. Eng., vol. 119, and vol. 120, 1973.
[17] D. Sharon, “Reactive power definitions and power-factor improvement in nonlinear systems”, Proc. Inst. Elec. Eng., vol. 120, 1973.
[18] N. L. Kusters, W. J. M. Moore, “On the definition of reactive power under nonsinusoidal conditions”, IEEE Trans. Power App. Syst., vol. PAS-99, 1980.
[19] L. S. Czarnecki, “What is wrong with the Budeanu concept of reactive and distortion power and why it should be abandoned”, IEEE Trans. Instr. Meas., vol. 36, 1987.
[20] L. S. Czarnecki, “Considerations on the reactive power in nonsinusoidal situations”, IEEE Trans Instr. Meas., vol. 34, 1985.
[21] L. S. Czarnecki, “Orthogonal decomposition of the currents in a 3-phase nonlinear asymmetrical circuit with a nonsinusoidal voltage source”, IEEE Trans. Instr. Meas., vol. 37, 1988.
[22] L. S. Czarnecki, “Current and power equations at bidirectional flow of harmonic active power in circuits with rotating machines”, ETEP, vol. 3, n. 1, 1993.
[23] M. Depenbrock, “Quantities of a multiterminal circuit determined on the basis of Kirchhoff’s laws”, ETEP, vol. 8, n. 4, 1998.
[24] H. Akagi, Y. Kanazawa, A. Nabae, “Instantaneous reactive power compensators comprising switching devices without energy storage components”, IEEE Trans. on. Ind. Appl., vol. IA-20, n. 3, 1984.
[25] L. Rossetto, P. Tenti, “Evaluation of instantaneous power terms in multi-phase systems: techniques and applications to power conditioning equipment”, ETEP, vol. 4, n. 6, 1994.
[26] J. L. Willems, “A new intepretation of the Akagi-Nabae power components for nonsinusoidal three-phase situations”, IEEE Trans. on Instr. and Meas., vol. 41, n. 6, 1992.
[27] J. L. Willems, “Mathematical foundations of the instantaneous power concepts: a geometrical approach”, ETEP, vol. 6, n. 5, 1996.
[28] A. Ferrero, G. Superti-Furga, “A new approach to the definition of power components in three-phase systems under nonsinusoidal conditions”, IEEE Trans. on Instr. and Meas., vol. 40, n. 3, 1991.
[29] L. Cristaldi, A. Ferrero, G. Superti-Furga, “Power and current decomposition into time- and frequency-domain components: analysis and comparison”, ETEP, vol. 4, n. 5, 1994.
[30] L. Cristaldi, A. Ferrero, “Mathematical foundations of the instantaneous power concepts: an algebraic approach”, ETEP, vol. 6, n. 5, 1996.
[31] A. Ferrero, L. Giuliani, J. L. Willems, “A new space-vector transformation for four-conductor systems”, ETEP, vol. 10, n. 3, 2000.
[32] 1st Int. Workshop on Power Definitions and Measurements under Non-Sinusoidal Conditions, ETEP, vol. 3, n. 1, 1993.
[33] 2nd Int. Workshop on Power Definitions and Measurements under Non-Sinusoidal Conditions, ETEP, vol. 4, n. 5 and n. 6, 1994.
[34] 3rd Int. Workshop on Power Definitions and Measurements under Non-Sinusoidal Conditions, ETEP, vol. 6, n. 5 and n.6, 1996.
[35] 4th Int. Workshop on Power Definitions and Measurements under Non-Sinusoidal Conditions, ETEP, vol. 8, n. 4 and n. 5, 1998.
[36] 5th Int. Workshop on Power Definitions and Measurements under Non-Sinusoidal Conditions, ETEP, vol. 11, n. 5 and n. 6, 2001, and vol. 12, n.1, 2002.
[37] P.S. Filipski, R. Arsenau, “Behavior of wattmeters and watthour meters under distorted waveform conditions”. IEEE Tutorial Course, 90EH0327-7PWR, 1991.
[38] R. Arsenau, P.S. Filipski: “The effects of nonsinusoidal waveforms on the performance of revenue meters”. IEEE Tutorial Course, 90EH0327-7PWR, 1991.
[39] IEEE Working Group on Nonsinusoidal Situations, “Effects on meter performance and definitions of power: Practical definitions for powers in systems with nonsinusoidal waveforms and unbalanced loads: a discussion”, IEEE Trans. Pow. Del., vol.11, n.1, 1996.
[40] IEC-ISO Guide to the Expression of Uncertainty in Measurement, 1992.
[41] P. S. Filipski, R. Arseneau, “Definitions and measurement of apparent power under distorted waveform conditions”, IEEE Tutorial Course on Nonsinusoidal Situations, Course Text 90EH0327-7-PWR, pp. 37-42.
[42] F. Buchholz, “Die Drehstrom-Scheinleistung bei ungleichmäßiger Belastung der drei Zweige”, Licht u. Kraft, Org. Elektrotech. Ver. München, 1922, n. 2, pp. 9-11.
[43] P. H. Swart, M. J. Case, J. D. van Wyk, “On techniques for localization of sources producing distortion in three-phase networks”, ETEP, vol. 6, n. 6, pp. 391-396, 1996.
[44] A. Ferrero, A. Menchetti, R. Sasdelli, “Measurement of the electric power quality and related problems”, ETEP, vol. 6, n. 6, pp. 401-406, 1996.
[45] C. Muscas, “Assessment of electric power quality: indices for identifying disturbing loads”, ETEP, vol. 8, n.4, 1998.
[46] A. P. J. Rens, P. H. Swart: “On techniques for the localization of multiple distortion sources in three-phase networks: time-domain verification”, ETEP, Vol. 11, No. 5, 2001.
[47] L. Cristaldi, A. Ferrero, S. Salicone, “A Distributed System for Electric Power Quality Measurement”, IEEE Trans. Instr. Meas., vol. 51, n. 4, August 2002.
[48] D.Castaldo, A. Ferrero, S. Salicone, A. Testa, “A power-quality index based on multi-point measurements”, Proc. IEEE Power Tech 2003, Bologna, Italy, June 23-26, 2003.
[49] L. Cristaldi, A. Ferrero, M. Lazzaroni, R. Ottoboni, “A linearization method for commercial Hall-effect current transducers”, IEEE Trans. Instr. Meas., vol. 50, n. 5, 2001.
[50] A. Ferrero, R. Ottoboni, “A new low-cost voltage-to-voltage transducer for distorted signals”, IEEE Trans. on Instr. and Meas., vol. 47, n. 2, 1998.
[51] C. Svelto, R. Ottoboni, A. Ferrero, “Optically supplied voltage transducer for distorted signals in High-Voltage systems”, IEEE Trans. on Instr. and Meas., vol. 49, n. 2, 2000.
[52] G. Betta, C. Liguori, A. Pietrosanto, “Structured approach to estimate the measurement uncertainty in digital signal elaboration algorithms”, IEE Proc. Sci. Meas. Technol., vol. 146, n.1, 1999.
[53] G. Betta, C. Liguori, A. Pietrosanto, “Propagation of uncertainty in a discrete Fourier transform algorithm”, Measurement 27 (2000).
[54] A. Ferrero, M. Lazzaroni, S. Salicone, “A calibration procedure for a digital instrument for electric power quality measurement”, IEEE Trans. Instr. Meas., Vol. 51, n. 4, August 2002.
[55] S. Nuccio, C. Spataro, “Approaches to evaluate the virtual instrumentation measurement uncertainty”, IEEE Trans. Instr. Meas., Vol. 51, n. 6, 2002.
[56] G. Mauris, L. Berrah, L. Foulloy, A. Haurat, “Fuzzy handling of measurement errors in instrumentation”, IEEE Trans. Instr. Meas., vol. 49, no. 1, 2000.
[57] A. Ferrero, S. Salicone, “An innovative approach to the determination of uncertainty in measurements based on fuzzy variables”, IEEE IMTC/02, Anchorage, AK, USA, May 21-23, 2002.
[58] A. Ferrero, S. Salicone, “The Random-Fuzzy Variables: a new approach for the expression of uncertainty in measurement”, Proc. IEEE IMTC/2003, Vail, CO, USA, May 20-22, 2003.
[59] R. Sasdelli, A. Ferrero, A. Menchetti, A. Ferrero, L. Peretto, “About the accuracy of some proposed procedures for revenue metering under nonsinusoidal unbalanced conditions”, ETEP, vol. 8, n. 5, 1998.
Author: Prof. Alessandro Ferrero, Dipartimento di Elettrotecnica, Politecnico di Milano, Piazza Leonardo da Vinci 32, 20133 Milano, Italy, Tel: +39-02-233993751, Fax: +39-02-23993703, e-mail: alessandro.ferrero@polimi.it
Source: XVII IMEKO World Congress, Metrology in the 3rd Millennium June 22−27, 2003, Dubrovnik, Croatia.