Published by Petro D. LEZHNIUK1, Iryna O. HUNKO1, Sergiy V. KRAVCHUK1, Paweł KOMADA2,
Konrad GROMASZEK2, Assel MUSSABEKOVA2, Nursanat ASKAROVA3, Abenar ARMAN2
Vinnytsia National Technical University, Chair of Electric Stations and Systems (1), Lublin University of Technology, Faculty of Electrical Engineering and Computer Science (2), Kazakh National Research Technical University after K.I. Satpaeva (3)
Abstract. One of methods of active power loss decrease in the electric microgrids of electrical power system that is based on the mutually agreed use of polytypic sources of the distributed generation is presented in this article. This paper presents and solves the problem of mode optimization of the microgrid according to the criteria of active power loss decrease of in the branches of equivalent network in the microgrid by the way of electric power regulation, generated by the hydropowerplant and choice of available hydropowerplant with the help of which control of the mode should be done in conformity with the current parameters of the nodal loads and generation of the distributed sources of the electric power.
Streszczenie. W artykule zaproponowano jedną z metod zmniejszenia strat mocy czynnej w sieciach microgrid systemu elektroenergetycznego, opartego na uzgodnionym wykorzystaniu zróżnicowanych źródeł rozproszonych. W pracy przedstawiono i rozwiązano problem optymalizacji microgrid zgodnie z kryterium strat mocy czynnej w gałęziach równoważnej sieci microgrid, metodą elektrycznej regulacji mocy, Źródłem generowanej mocy kompensayjnej jest szczytowa elektrownia wodna, natomiast algorytm dokonuje wyboru trybu sterowania, celem wykonania go zgodnie z obowiązującymi parametrami obciążeń w węzłach i generacji rozproszonej źródeł energii elektrycznej. (Wpływ rozproszonych źródeł energii na straty mocy czynnej w sieciach microgrid).
Słowa kluczowe: sieci microgrid, rozproszone źródła energii, elektrownie słoneczne, elektrownie wodne, straty mocy czynnej.
Keywords: microgrids, distributed sources of energy, solar power plant, hydropowerplants, loss of active power.
Introduction
The intensive rate of the automation human fields of activity leads to the significant increasing of power consumption. In the conditions of fast rise of cost of traditional source of energy (as coal, oil, gas), the task of growth of alternative power is of current interest now. Most developed countries of the world implementing different programs for distributed generation sources capacity on the base of alternative power. Use of the alternative power is expedient in the case of question of ecological safety. Distributed generation is ecologically accepted and is able to solve the problem of power software of new consumers. System of distributed generation consists of electric stations with moderate capacity those are dispersed along the whole energetic system. They supply power to the closest consumers, and in the case of surpluses power appearing they are able to transfer it in the net of centralized power supply.
Therefore, companies and power providers have to get involved to the alternative methods and ways of generations to provide the increasing demand and to meet the consumers. Recently, because of the increasing interest according the ecological safety, the demand on the search of ecological power sources is increasing also. Distributed generation (DG) is played an important part in this context that is ecologically accepted and is able to solve the problem of increasing power demand maintenance. The system of distributed generation consists of moderate generators with power from 10 kW to 20 MW (even to 50 MW) situated in different places along the whole distributed electric power system territory. Such distributed power sources (DPS) provide power needed to the consumers. Thanks to this, demand to build additional local distributed power lines or to improve the existing ones, is removed. Also functional capacity of the whole system is increasing. Distributed generation (DG) is the system that consists of generating capacity from 10 to 250 kWt, which are connected to the distributed grid with the power to 11, 35 or 110 kV. In addition such system provides possibility to the consumer, that produces power for his own demands, to give the power excess in the grid of centralized power. So, a very important questions rises in this context, is how to unite the system of distributed generation with the distributed grid.
Nowadays thanks to the complicated condition in which are the distributed power grids in the conditions of exploitation of old equipment, absence of sufficient quantity of means of control and automatic management of its modes, operation of process optimization methods: regulation of flow of active and reactive power and regulation of nodal power became one of the most important tasks in the planning, exploitation and managing of distribution systems. Distributed generation may considerably influences the power, the supplying with necessary quantity of the power of the increasing charge [1, 4] that is important in the conditions of commissioning of new agro recycling companies and agro industrial complexes in Ukraine, may influences the power loss, economic and reliable work indicators of the power companies and distribution grids. Introducing of the distributed generation to the distributive electric system often causes the reverse (reversible) cross flow of power and overtime rejection of key power [1]. At certain terms, for providing of quality and reliability of power supply operatively-controller’s management of microgrids is provided, that enter in the complement of the distributive electric systems comes true the modes, by imposition of limits on the generation of DPS or consumption in these networks and on the possible level of tension in them, especially during realization of repair works in the distributive electric limits of Ukraine. And as regulation of active-power and key power is directly related to quality of electric power in the distributive electric system and influences on the losses of electric power, then such regulation becomes the main theme of research in this article.
Research of existent methods of electric power losses reduction in microgrids
If a level of tension in the distributive electric system (DES) is within the limits of standard of ANSI C84.1-2006 then, as Masters [1] marks, tension does not need the superfluous attention, but if this level exceeds the set limits, then it is needed to apply facilities of power regulation, to bring tension to the set limits [1-4].

Many methods of tension regulation are known. So Tae – Eung Kim and Jae – Eon Kim [5] considered the method of co-ordination of tension regulation in the nodes of joining of the distributed generation (DG) in a distributive network, which is taken to adjusting of reactive-power, and O.O. Kovalchuk [6] – the uses of distributed hydro generators and their influence on the DPS mode. Also Gonen [7] illustrated the method of adjusting of tension, well-known as a method of LDC (method of indemnification of power failure). Tae – Eung Kim and Jae – Eon Kim [7] prospected intercommunication between adjusting of tension and cross flows of electric power of the transformer with the adjusting of tension on-loading (LCT), by the scray of power failure on a line (LDC) and initial power of the distributive generators (DG).

А.V. Kylymchuk in the article [8] prospected the use of transformer with the adjusting of tension on-loading for a management the cross flows of electric power in the networks of energy procurement companies with the aim of reduction of losses of active-power. Joon – Ho Choi and Jae – Chul Kim [9-10] presented the method of adjusting of tension for indemnification of power failure on a few lines (multiple line drop compensation voltage regulation method) taking into account the distributive stores of energy (dispersed storage generation systems) and charts of loading and generating unbalanced in time in microgrids.
Nigel C. Scott [11] offered method of adjusting of loading that must remove the considerable brief changes of nodal tension, caused by the «built-in (distributed) generation of electric power. The task of adjusting of nodal tensions and powers, generating DPS is an optimization task. T.Niknam and other [12] suggested to regulate tension and active-power in a distributive network with the distributed generation (DG) by means of genetic algorithm (GA). One objective function was examined in this work only, and the main lack of this approach is a necessity of adjustment of parameters. Batrinu and other coauthors [13] considered how loading changes in the course of time, and used the evolutional programming (nested evolutionary programming) for the solving of problem of adjusting of tension in a distributive network. However, such approach requires the large charges of calculable resources even for a small distributive network. J. Enslin, P. Heskes [14] pay attention to the origin of cross-coupling in the case of large quantity of the distributed inverters of DPS in DES, and J. Jung, An One Arghandeh, Broadwater [15] ground the necessity of the coordinated management of the automated devices and photo-electric generators for the reduction of negative influence of consequences of increase of tension in the circles of DES by the sources of DPS. Also in the microgrid with the relatively unmanaged DPS the stabilizing of tension is an important task. So Jaesung Jung offers an algorithm on reduction of losses to power and stabilizing of tension by the use of voltage regulators and devices of indemnification of reactive-power in a microgrid [15]. L. Minchala – Avila, L. Garza – Castanon, A. Vargas – Martıof nez, Y. Zhang [16] conducted the review of literary sources through the question of optimal methods of management an energy consumption (EMS) and of control of the modes of MM and offered the hierarchical architecture of management of the energy consumption, that envisages the necessity of telecommunication infrastructure for connection of the distributed management at the level of DPS with the top level of management of energy procurement company, on which optimization of work of MM is provided. Despite to many existent criteria of optimization of the modes of MM, the basic requirement to the MM management is optimization on the criterion of providing of necessary balance between generating and consumed electric power in DES. It provides firmness of work of DES.
P. Hrisheekesha and J. Sharma confirm that losses in MM or weight coefficient of their components depend on importance of disbursement functions and limits. The meaning of disbursement functions and limits in different grids are different. It means that weight coefficients in different grids are different also. That’s why weight indicators for each grid have to be adjusted. To overcome the problems above [17-19], method of minimizing losses of power and overtime tension deviation in MM with the distributed generation is offered. This method provides the use of results of math modeling according the genetic algorithm of non-dominant sorting (NSGA).
DPS can substantially influence on quality of electric energy, namely on supply tension, on the coefficient of harmonious distortions of current on tension and on the losses of active-power, on what D. Galzina [20] and P. Lezhniuk, О. Rubanenko, І. Hunko in [21] pay attention.
Research of P. D. Lezhniuk and І. О. Hunko testify that the overtime increase of coefficient of accordions in a microgrid tension results in the damage of muffs of cable busses of electricity transmissions and measuring transformers of tension, and pulls out additional requirements in relation to the concerted management a few SES with the aim of reduction to duration of transients during their switching on. Therefore, in [22] it becomes firmly established that during optimal (after the losses of electric power) controller’s management of the electro energy systems the modes it costs to take into account damaged of high-voltage equipment and its remaining resource. Also, a problem of water deficit is actual today, and this problem becomes sharper in Ukraine every year. According to UNO information 1,2 milliards of people live under conditions of permanent deficit of water, about 2 milliards suffer from it regularly. For the last 40 years the amount of water for a person on Earth diminished on 60%, and in the nearest 25 years its amount will diminish twice [22]. It limits the possibilities of the use of the hydroelectric power stations (HPS). It is necessary to take this fact into account while developing of algorithms of optimal management generating power of HPS in a microgrid. In the networks where SЕS and HPS work under the unchanging SES power, it is possible to influence with the power of generating of HPS on the losses of active-power and tension in a microgrid.
The tasks of adjusting of nodal voltage generating with DPS and consumed in the microgrids of electric powers is:
а) reduction to the amount of damages of equipment of microgrid;
b) providing of quality levels of nodal voltage is due to minimization of rejections of their current values from rationed;
c) optimization of losses of active-power in a microgrid: the distributed generation (DG) results in emerging of reverse (reversible) cross flow of electric energy in a grid and changes the streams of electric power, influencing on the losses of electric distributive grid and others.
It is known that DPS is divided into guided (for example, diesel electric stations, which cost of generating electric energy is large), conditionally guided (for example, hydroelectric power stations, the amount of water for that not always satisfies to the necessities and that is why limits, at certain terms, the protracted generating) and not guided (for example, PV systems generating of which depends on whether terms and has probabilistic character).
Therefore the method of determination of the hydroelectric power station and electric power is offered in this paper in accordance with the chart of the daily allowance loading in the nodes of microgrid, that provide the minimum losses of active-power.
Formulation of the task
It is necessary to investigate influence of generating of HPS and places of its joining to the distributive electric microgrid on the losses of active-power in a radial distributive grid with the distributed generation and on to the nodal voltage. The article considers next control parameters: place of joining of HPS to the distributive electric microgrid and its generated power in accordance with the chart of the daily allowance loading and generation of other DPS (for example, SЕS) and nodal voltage.
A computer design in this article is provided with the aim of researches of conditions, which answer the objective function of F1 of minimization of losses of active-power in a microgrid:

where: m is an amount of areas of radial line (in future branches of chart) in a microgrid, ΔРj is losses of active power in j- branch of chart. These losses answer:
– to the condition of minimization of rejections of tension from optimal, after the losses of active-power, values

where where k is an amount of nods in a microgrid, Ucur. and Uopt. is a current and optimal value of tension in a і- that node, that answer the investigated mode;
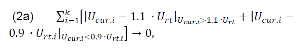
– to the condition of being of nodal voltage [22] in the great number of possible values limit minimum and maximal legitimate values.

where Ucur. and current value of tension in і-that node for the investigated mode, Urt and basic value of tension. For distributive electric grids minimum and maximal legitimate values answer to 0.95 – Urt (-10% deviation from the basic value of tension) and 1.1 – Urt (+10% deviation is from the basic value of tension).
At variable places of point of section of the flow, the crossflow of power in the microgrid changes. For determination of losses of power in a branch, at first find power at the beginning of the branch after term (3)

where m = 1,2.b is an amount of branches, n=m+1, Um is tension at the beginning of branch, Im is a current in m- in the branch of chart.
Power at the end of branch find after term (4), taking into account direction of the power flow here. For positive direction take motion from the center of supply, and reverse (from HPS to the center of supply) “-” for negative

where m = 1,2.b is an amount of branches, n=m+1, Un is tension at the end of the branch, Im is a current in m- in the branch of chart.
Losses in the branches are determined as a sum of algebra of powers at the beginning and at the end of the branch, after the term (5)

where Рmn is power at the beginning of the branch, Рnm is power at the end of the branch. The sum of losses in the branches of the chart ΔР is determined after the term (6):

Microgrid work and its parameters analysis
The aim of the researches is an analysis of losses of active-power in electric microgrids by the choice of optimal HPS and its generating power for providing of minimum losses of active-power and implementation of limitations after voltage in the nodes of MM, set power and places of exploitation of existent HPS, generating power of SЕS. For research of change of losses of active-power ΔР in a radial distributive grid from DPS (Fig.1) the computer model of grid of 10/0,4 kV was built in a programmatic complex for the design of power system of PS CAD.
In the computer model of the grid (Fig. 2) as electric energy sources used: center of supply, PV systems of SES1 and SES2, and hydroelectric power stations of HPS1, HPS2, HPS3. SЕS1 and SЕS2 is connected to the microgrid through the increase transformers of tension of 0,4/10 kV.
Calculation of losses of active-power of grid which parameters of that are indicated in a tabl.1, at the beginning and at the end of each line multimeters that represent the value of tension and power are set. Total power of loading for this mode is – 2,8 MWt, set power of generating of SЕS1 and SЕS2 for 0,2 MWt. Power of generating of HPS1, HPS2 and HPS3 were changing during the experiment as shown in the table 1.
Table 1. Parameters of the chart of the microgrid

Table 2. Parameters of the branches of the chart of the microgrid

The experimental part
During the computer design of the modes of the microgrid, power of generating of SЕS (0,4 МWt) did not change, but changed power of every HPS separately. That’s why three experiments were held. Power of HPS1 changed in the first experiment, while HPS2 and HPS3 were turned off.
In the second experiment the management were held by HPS2, at turned off HPS1 and HPS3. Power of generating of HPS3 changed in the third experiment, at turned off HPS1 and HPS2. For three variants of connection of HPS (tires of substation 8, 9, 10), were determined the losses of active-power ΔР that concur the power of generating of HPS. Results are given in the table 3.
Table 3. Losses of active-power ΔР and powers of generating of HPS in the microgrid

The changes of tensions were controlled on the tires of substations and electric stations without the use of HPS and with the extra use of HPS1, HPS2, HPS3 and the change of powers generating by them, from 0 to 2,9 МWt (table4). Analysis of these table 4 testifies that deviation of nodal voltage from the rationed values does not exceed 10 %.
Table 4. Tension on the tires of substations and electric stations in the microgrid

Approximating data of table 3. by a quadratic polynomial, terms (7) – (9) are got, that allow to determine the losses of active-power in a microgrid depending on generating power and place of HPS joining. The error of approximation does not exceed 0,04%.
For HPS 1:

For HPS 2:

For HPS 3:

where ΔРHPS1, ΔРHPS2, ΔРHPS3 are losses of active-power at a robot HPS1, HPS2, HPS3 accordingly, РHPS1, РHPS2, РHPS3 are generating power of HPS1, HPS2, HPS3 accordingly.
Analysis of the charts of dependences of losses of active-power from power of generating HPS in the MM (Fig.3) built from the use of terms (7) – (9) testifies to that the use of HPS1, allows maximally decrease these losses.
Equating the first derivative of terms (7) – (9) to zero (10) – (12), and solving these equalizations relatively,,, accordingly, will get the optimal values of generating HPS1, HPS2, HPS3 of powers РHPS1,OPT=1,184 MWt, РHPS2,OPT=1,104 MWt, РHPS3,OPT=1,003 MWt and the corresponding values of active power losses ΔРmin.HPS1= 81,279 kWt, ΔРmin.HPS2= 87,034 kWt, ΔРmin.HPS3= 102,929 kWt that concur to РHPS1min, РHPS2min, РHPS3min.

where РHPS1, РHPS2, РHPS3 – generating power HPS1, HPS2, HPS3 accordingly. Determine the generating power of HPS and losses of active-power in the microgrid depending on the power of generating and place of HPS joining. Generating power of HPS in relative units:

where PHPSi– generating power і-that HPS, і – serial number of HPS, і=1…3, PHPSimin – generated HPS power under which the minimum loss in MM.
Losses of active-power in the microgrid during work of і-that HPS in relation to the minimum losses of power during the work of this HPS.

where ΔPHPSi is the power loss in MM during the work of i– th HPS, ΔPHPSimin – minimum losses of active-power in MM during the work of i – th HPS.

The losses of active-power without working HPS in relative units in the branches of the chart of MM are determined as a relation of losses of power without working HPS to the minimum losses of power during work of і-that HPS.

where ΔРwithout HPS – power loss in MM without the HPS generating. The results of calculations are in the table 5.
Table 5. The Relative values of losses of active-power in MM and generating powers of HPS

In accordance with table 5, the graphics of losses of active-power dependences in MM from power of HPS generating (Fig.4).

So the most influential to the changes of losses of active-power in the grid is HPS1.
Thus, use of HPS1, will allow to attain the minimum value of losses of active-power at minimum power of HPS generating and charges of water.
Conclusions
An offer method of reduction of losses of active-power electric microgrids of the electro energy systems is based on the mutually concerted use of different typed sources of the distributed generation of SЕS and HPS.
Put and decided task of optimization of the mode of the microgrid on the criteria of reduction of losses of active power in the branches of equivalent chart of the microgrid by adjusting of electric power generating by the hydroelectric power station and reasonable choice of that of present HPS, by which is needed to carry out a management of the mode in accordance to the current values of parameters of the nodal voltage and generating of the distributive electric energy sources.
REFERENCES
[1] Masters C.L., Voltage rise: the big issue when connecting embedded generation to long 11kV overhead lines, Power Engineering Journal, 1 (2002), n.14, 5-12
[2] IEEE standard for interconnecting distributed resources with electric power systems, IEEE standard 1547TM -2003.
[3] Tran K., Vaziri M., Effects of dispersed generation (DG) on distribution systems, Proc. of IEEE Power Engineering Society General Meeting, 3 (2005), 2173-2178
[4] Kiprakis A. E., Wallace A. R., Maximizing energy capture from distributed generators in weak networks, IEEE Proceedings on Generation Transmission and Distribution, 151 (2004), n.5, 611-618
[5] Kim T. E., Kim J., Voltage regulation coordination of distributed generation system in distribution system, Proc. of IEEE Power Engineering Society Summer Meeting, 1 (2001), 480-484
[6] Kovalchuk О., Nikitorovych О., Lezhniyk P., Kulyk V., HPS in the local electric systems with dispersed generating, Hydroenergetics of Ukraine, 1 (2011), 54-58
[7] Gonen T., Electric power distribution system engineering, 2nd Edition, CRC Press, (2007), 127-129
[8] Lezhniyk P. D., Rubanenko О. E., Kulymchuk А. V., Reduction of additional losses of electric power in the electric grids caused by their interaction, Vysnyk Vinnitsa Polytechnic Institute, 5 (2013), 48–52
[9] Kim T. E., Kim J., Considerations for the feasible operating range of distributed generation interconnected to power distribution system, Proc. of IEEE Power Engineering Society Summer Meeting, 1 (2002), 42-48
[10] Choi J-Ho, Kim J., Advanced voltage regulation method at the power distribution systems interconnected with dispersed storage and generation systems, IEEE Trans. Power Delivery, 15(2000), n.2, 691-696
[11] Scott N.C., Atkinson D.J., Morrell J. E.,Use of load control to regulate voltage on distribution networks with embedded generation”, IEEE Trans. Power Systems, 17 (2002), no.2, 510-515
[12] Niknam T., Ranjbar A.M., Shirani A.R., Impact of distributed generation on Volt/ Var control in distribution Networks, Proc. IEEE Bologna Power Tech Conference, 3 (2003), 23-26
[13] Batrinu F., Carpaneto E., Chicco G. et all, New nested evolutionary programming approach for voltage control optimization with distributed generation, Proc. IEEE Mediterranean Electrotechnical Conference, 3 (2004), 1007-1010
[14] Enslin J., Heskes P., Harmonic Interaction Between a Large Number of Distributed Power Inverters and the Distribution Network, IEEE Transaction on power electronics, 19 (2004), n.6, 1586-1593
[15] Jung J., Onen A., Arghandeh R., Broadwater R., Coordinated control of automated devices and photovoltaic generators for voltage rise mitigation in power distribution circuits, Renewable Energy, 66 (2014), 532-540
[16] Minchala-Avila L., Garza-Castanon L., Vargas-Martınez A., Zhang Y., A review of optimal control techniques applied to the energy management and control of microgrids, Proc. of the 5th International Conference on Sustainable Energy Information Technology (SEIT), 52 (2015), 780-787
[17] Hrisheekesha P., Sharma J., Evolutionary Algorithm Based Optimal Control in Distribution System with Dispersed Generation, International Journal of Computer Applications, 27 (2010), n.14, 31-37
[18] Pukach A., Teslyuk V., Ivantsiv R. A., Komada P., Method and means of measuring small quantities of electrical resistance, Informatyka, Automatyka, Pomiary w Gospodarce i Ochronie Środowiska, 4 (2012), 14-16
[19] Zyska T., Lozbin V., Analiza możliwości stosowania efektów termoelektrycznych do badań termoogniw, PRZEGLĄD ELEKTROTECHNICZNY 3(2008), 32-34
[18]Galzina D., Voltage Quality Improvement Using Solar Photovoltaic System, Journal of Sustainable Development of Energy, Water and Environment Systems, 3 (2015), n.2, 140-150
[19] Lezhniyk P., Rubanenko О., Gunko І., Techical Sciences, Vysnyk Khmelnytsky National Technical University. Series, n.2, pp.134-139, 2015.
[20] Danylov-Danylian V., Global problem of fresh water deficits, Age of globalization, 1 (2008), 45-56
[21] Lezhniyk P., Rubnenko О., Nikitorovych О., The operative diagnosticating of high-voltage equipment is in the tasks of optimal management of the modes of electroenergy systems, Technical electrodynamics, (2012), n.3, 35-36
[22] National standard 29322-2014 (IEC 60038: 2009), the voltage standard, Moscow, Russian Federation, (2015), 16-17
Autorzy: Doctor of Eng. Sciences, Prof. Petro D. Lezhniuk, Chair of the Department of Electric Stations and Systems, M.Sc. Iryna O. Hunko, M.Sc. Sergiy V. Kravchuk, Vinnytsia National Technical University, Khmelnytske Shose 95, 21021 Vinnytsia, Ukraine, Email: ira_rubanenko@bk.ru; Ph.D. Paweł Komada, Ph.D. Konrad Gromaszek, M.Sc. Assel Mussabekova, M.Sc. Abenar Arman, Faculty of Electrical Engineering and Computer Science, Lublin University of Technology, ul. Nadbystrzycka 38A, 20-618 Lublin, Poland, E-mail: k.gromaszek@pollub.pl; M.Sc. Nursanat Askarova, Kazakh National Research Technical University after K.I. Satpayeva, 22 Satbaev Street, 050013, Almaty City, Kazakhstan.
Source & Publisher Item Identifier: PRZEGLĄD ELEKTROTECHNICZNY, ISSN 0033-2097, R. 93 NR 3/2017. doi:10.15199/48.2017.03.25