Published by Lorenzo Mari, EE Power – Technical Articles: How to Improve Resistance to Ground, September 25, 2020.
Learn about the methods used to lower the resistance of a grounding electrode
When the soil resistivity is high, and the resistance to ground exceeds the required values, specific techniques are useful to decrease it. This article evaluates various methods for reducing the resistance of a grounding electrode.
There are several types of grounding electrodes, ranging from very simple to very complex, and the National Electrical Code (The NEC) requires particular methods be used.
For this exercise, we choose the most widely-used electrode type: a single ground rod. It is a long metal rod, usually copper bonded to steel, galvanized iron, or stainless steel.
Ground rods come in 240 cm (8 ft) and 300 cm (10 ft) lengths, and three diameters: 1.270 cm (1/2 in), 1.588 cm (5/8 in), and 1.905 cm (3/4 in).
The NEC requires a minimum length of 240 cm (8 ft) for rod and pipe electrodes. A measure of 240 cm is typical in residential installations and 300 cm in industrial and commercial power systems. As a rule, do not cut ground rods.
We’ll pick a length of 300 cm and the three diameters.
To calculate the theoretical resistance to ground, we’ll use the formulas developed by Herbert Bristol Dwight, an American-Canadian Electrical Engineer, and published in AIEE Transactions in December 1936.
Basic Methods to Reduce the Resistance to the Ground
If the resistance of a grounding rod is not low enough, several methods may improve it.
Increase the rod diameter,
Increase the length of the rod,
Use multiple rods,
Treat the soil to reduce its resistivity,
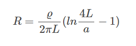
To compute the resistance to ground of one rod, we use the following Dwight’s formula

where
R = Resistance to ground
ρ = soil resistivity
L = rod length
a = rod radius
Note in the following paragraphs that, while standard rod thicknesses are diameters (d), Dwight’s formulas use the radius (a = d/2).
1. Increase the Rod Thickness
Let’s assume we bury a standard ground rod with L = 300 cm, and d = 1.270 cm, in soil with ρ = 10,000 Ω·cm. Using Dwight´s formula, the computed resistance is 35 Ω.
The NEC requires a supplemental electrode when the resistance to ground of a single rod exceeds 25 Ω. So, we decide to use a larger diameter rod to reduce the resistance rather than bonding supplemental electrodes. Table 1 shows the results with the three standard diameters.
Table 1 Effect of rod diameter

Analyzing Table 1, the minimum resistance obtained is 33 Ω, requiring a supplemental electrode.
Figure 1 shows the resistance values of the three rods in percentage of the resistance of the narrower rod.

If the soil resistivity varies, so does the ground resistance. The percentages will remain constant.
We conclude from this analysis that the rod diameter has no significant effect on the resistance to ground. The selection of a rod with a larger diameter comes only from mechanical considerations, as the rods will likely be buried using both manual and pneumatic hammers.
2. Increase the Rod’s Length
Next, let’s examine the effect of increasing the length of the grounding rod. The ground rods can be stacked and joined with a specially designed clamp to lengthen them deeper into the earth. We have chosen the larger diameter rods so that they are easier to drive into the ground.
Table 2 summarizes the effect of piling one, two, three, and four rods. As expected, driving grounding rods more deeply into the ground decreases their resistance.
Table 2 Effect of the rod’s length

Figure 2 shows the impact of lengthening the grounding rod, in percentage of the resistance of the shorter length. Notice the highest resistance reduction occurs when adding the first rod. Attaching more rods creates a gradually smaller percentage of reduction in resistance.

A more in-depth analysis of Table 2 and Figure 2 allows us to establish a rule of thumb: doubling the rod’s length reduces the resistance by around 45%.
The rod driven 300 cm down has a resistance of 33 Ω, but driven 600 cm down has a resistance of 18 Ω. Applying the 45 % rule:
33 Ω ∙ 0.45 = 14.85 Ω reduction.
Then, 33 Ω – 14.85 Ω ≈ 18 Ω.
Another example show moving from from 600 cm to 1,200 cm.
From Table 2, the rod driven 600 cm down has a resistance of 18 Ω, and driven 1,200 cm down has a resistance of 10 Ω.
18 Ω ∙ 0.45 = 8.1 Ω reduction.
Then, 18 Ω – 8.1 Ω ≈ 10 Ω.
The last column of Table 2, % Reduction, should not be confused with this rule of thumb, as those percentages always refer to the shortest rod.
Dwight’s formula assumes a homogeneous soil, that is, of constant resistivity. In real life, these soils are very rare. Then, when burying the rods, we will find several layers with different resistivities. If the resistivities of the lower strata are lower than at the surface, the resistance results of the grounding electrode will be lower than those calculated in this exercise. The opposite will happen if we find higher resistivity strata.
The lower strata are usually more humid, which implies less resistivity. But this is not a fixed rule. Therefore, it is essential to make resistivity measurements and develop a soil model before designing the grounding electrode.
Furthermore, in times of low temperatures, the upper layers can freeze, taking the resistivity to infinity. The section of the ground rod in the frozen layer increases the electrode’s resistance.
3. Use of Multiple Rods
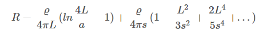
Another method to reduce the resistance to ground is to add multiple rods. In this exercise, we’ll use two rods and Dwight’s equation

where
s = spacing
with rod dimensions: L = 300 cm, and d = 1.588 cm.
The NEC requires a minimum spacing of 180 cm (6 ft).
Table 3 summarizes the resistances of two rods for five spacing values, and Figure 3 shows the resistances in percentage of the resistance for just one rod.
Table 3 Effect of rod separation

Two rods driven into the ground provide parallel paths, but the rule for two resistances in parallel does not apply, i.e., the resultant resistance is not one-half of one of them.

Examining Table 3 and Figure 3, we see that the resistance decreases as the spacing increases, with a reduction from 41.61 % to 48.48 %. It is important to note that at the first spacing value, there is a large decrease in resistance, but further reductions are much smaller.
These results demonstrate that the resistance decreases as the spacing increases, hence the recommendation to space the rods further apart than the length of their immersion.
4. Treat the Soil to Decrease its Resistivity
When it is not possible to drive the grounding rods deeper, due to rocks or other causes, and adding rods does not achieve a reduction in ground resistance, chemical soil treatment is an excellent alternative.
The chemical treatment method modifies the nature of the soil around the electrodes. It takes advantage of the fact that the layers closest to the electrodes account for the highest portion of the resistance to ground. Thus, the replacement of a small volume of the original soil with one or more chemicals achieves a considerable reduction in resistance to earth.
If we use Dwight’s formula for a single grounding rod to compute the variation in resistance as a function of soil resistivity, keeping the length and radius of the rod constant, the formula reduces to
R = k∙ ρ
Thus, resistance is directly proportional to soil resistivity. This is an important result, because it demonstrates that soil resistivity strongly influences overall resistance.
Table 4 and Figure 4 show the reduction in resistance as soil resistivity decreases.
Table 4 Effect of treating the soil


Some ion-producing chemicals include:
• Magnesium sulfate (Epsom salts)
• Copper sulfate (Blue vitriol)
• Calcium chloride
• Sodium chloride (Common salt)
• Potassium nitrate (Saltpeter )
Magnesium sulfate is common because of its low cost, low resistivity, and low corrosivity. Potassium nitrate and sodium chloride are very corrosive.
This method requires maintenance by adding chemicals periodically.
The local authorities may prohibit the use of chemicals if they believe that the compounds could leach into nearby areas and cause problems.
Other useful products include:
• Charcoal
• Bentonite (Natural clay)
A Review of Improving Resistance
Sometimes the resistance to the ground of an electrode turns out to be excessively high. There are several simple methods to reduce this resistance.
The most effective methods are to increase the depth of the electrode, place several electrodes, and perform a chemical treatment to the soil near the electrodes. Increasing the diameter of the ground rod does not result in a significant reduction in resistance to ground.
The best solution depends on the particular case. The chemical treatment method should be used with caution due to the potential problems of corrosion and environmental contamination.
This exercise involves a very simple grounding electrode. The conclusions, however, also apply to more complex electrodes.
Author: Lorenzo Mari holds a Master of Science degree in Electric Power Engineering from Rensselaer Polytechnic Institute (RPI). He has been a university professor since 1982, teaching topics as electric circuit analysis, electric machinery, power system analysis, and power system grounding. As such, he has written many articles to be used by students as learning tools. He also created five courses to be taught to electrical engineers in career development programs, i.e., Electrical Installations in Hazardous Locations, National Electrical Code, Electric Machinery, Power and Electronic Grounding Systems and Electric Power Substations Design. As a professional engineer, Mari has written dozens of technical specifications and other documents regarding electrical equipment and installations for major oil, gas and petrochemical capital projects. He has been EPCC Project Manager for some large oil, gas & petrochemical capital projects where he wrote many managerial documents commonly used in this kind of works.
Source URL: https://eepower.com/technical-articles/how-to-improve-resistance-to-ground/