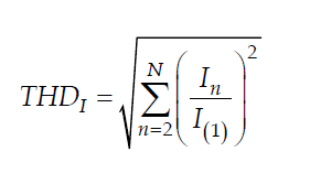
Previous Image Next Image ratio-of-the-rms-value-of-the-harmonic-current-to-the-rms-value-of-the-fundamental-calculated-by-relation