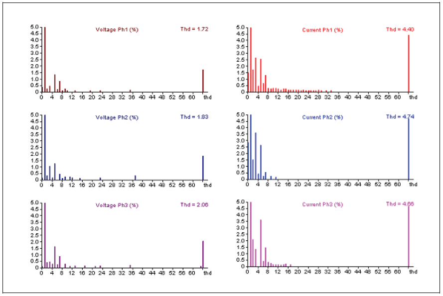
Previous Image Next Image fig.-16.-the-total-harmonic-distortion-calculated-for-voltages-thdu-and-currents-thdi-in-the-arc-stable-phase