Published by Marek MALINOWSKI, Jacek CHMIELOWIEC, Grzegorz PAŚCIAK, Tymoteusz ŚWIEBODA, Electrotechnical Institute, Division of Electrotechnology and Materials Science
Abstract. Evaluation of FC/SC-based UPS has been done in terms of energy containers usability in the power emergency generation system. The Uninterruptible Power Supply delivers electric support for connected loads basing on hydrogen energy direct conversion into electricity with aid of low-temperature PEM fuel cell and additional energy carriers – supercapacitors. The paper contains description of design and rules of operation, and measurement results that have been determined under various conditions to examine usefulness of FC/SC implementation.
Streszczenie. Na podstawie badań skonstruowanego zasilacza awaryjnego typu UPS bazującego na ogniwie paliwowym typu PEM-FC oraz dodatkowych magazynach energii – superkondensatorach, dokonano oceny sensowności wykorzystania tych zasobników energii w systemie awaryjnej generacji energii elektrycznej. Praca zawiera opis projektu i zasady działania oraz wyniki pomiarowe, otrzymane w różnych warunkach działania zasilacza. (Ocena przydatności zastosowania ogniwa paliwowego typu PEM-FC oraz superkondensatorów w układzie zasilania awaryjnego).
Keywords: UPS, PEM fuel cell, supercapacitor, usability evaluation
Słowa kluczowe: UPS, ogniwa paliwowe PEM, superkondensatory, ocena przydatności
Introduction
Fossil fuels are the best resources intended for energy production discovered by the human race. The advantages such as independence of weather conditions, latitude or seasons of the year, high conversion efficiency and availability of effective technology explain why fossil fuels are still widely used around the world. The supremacy of carbon based fuel resources is due to physical, economic and even historical reasons. The chemical accumulated energy can be oxidize according to the current utilization. The production costs are still fully acceptable. Looking at the history and duration of past energy transitions – from wood to coal and from coal to gas and oil may be predicted that the next transition will be also long, expensive and doubtful process. Advantages of “old” recourses and long path of development the new ones show that it will be severe task to change human habits in terms of hydrocarbon combustion. However, there is no way out [1].
There are various alternatives to traditional carbon fuels. The huge power generation linked with fissions of radioactive atoms delivers CO2-free energy in hundreds of nuclear power plants. However, similarly to fossil fuels the resources will become depleted. The common word properly describing the other alternatives is renewable. The energy sources which are renewable seem to be the only way to keep and cover the growth of energetic utilization. Solar radiation, winds, biomass, tides and hydroelectricity are widespread utilized for energy generation. Unlike fossil fuels the renewables can have a sustainable yield. They are suited both to large scale and to remote or off-grid applications. Due to intermittent character, especially for solar and wind resources, the excess of obtained energy should to be stored in order to utilize in case of the temporary lack of renewables. One of the efficient way in terms of storage is production of the hydrogen by using various method such as electrolysis, photolysis, or thermochemical splitting. After these processes the energy can by restored at any time. For these purposes fuel cells have been designing – the devices that allow high-efficient direct conversion from chemical energy of source fuel to the electricity and even the heat. The water appears as a result of the conversion. Hence, the connection between the hydrogen storage and renewables utilization creates great opportunity to implement inexhaustible, ecologic energy generation processes regardless of scales, areas or applications.
Plenty of applications for fuel cells supplied by the hydrogen can be found [4÷8]. Proton exchange membranes fuel cells (PEMFC) due to their low operation temperature, high electrical efficiency and flexibility have potential to substitute sources of electric energy such as batteries or accumulators. Moreover they are non-polluting low mass and volume power generators which can be used in various application. Typical examples are small-scale power plants, portable devices and electric vehicles.
The other prospective applications are emergency backup systems such as Uninterruptible Power Supplies (UPS) which supply external loads in case of failure of the power network. According to how typical configuration of UPS looks like, above devices generate electricity basing on built-in batteries or various power engines such as internal combustion ones. This configuration involves various well-known disadvantages lowering thereby reliability and lifetime of UPS. The fuel cells (FC) as an excellent power sources can substitute popular sources of the electricity. The aim of this paper was technical description and usability evaluation of a new designed and constructed UPS intended for lab, domestic or office utilities. The FC/SC UPS has been designed as a hybrid device supplied by supercapacitors (SC) and PEM-FC stack with hydrogen as a fuel.
Overall system design
The design and construction of the FC/SC hybrid UPS were done in multistage process. The main tasks have been divided as follow: electrical part, control system, gaseous part. As far as fuel cell plays significant role in terms of electricity generation it’s crucial to show internal structure of the supply which is adjusted mainly due to the stack principle of operation. From this point of view usability can also be evaluated.
Electrical part
Electrical part (fig. 1.) contains double conversion system: AC/DC and DC/AC. An additional converter has been used because of fuel cell and supercapacitors presence. The converter is important for the stack which works under wide voltage range. FC/SC Supply was designed according to technical parameters of commercial 600 W fuel cell stack. This power can not be transfer in whole to the output of UPS due to its different electric equipment’s such as air compressor, electromagnetic valves, control systems or measurement instruments. They require the total power of app. 180 W. Taking into account the conversion efficiency of built-in converters, the rated power of the Supply drops to 400 W which is the first seen limitation of fuel cell application. This loss can be significantly scaled-down by implementation of air pressure vessel instead of electrical compressor that spends considerable amount of the energy or by implementation of the stack which has the blowers both for air compression and cooling.

Control system
Basically, the control system designed for UPS plays the most important role, so particular attention has been paid to develop that system. During development process three different drivers were tested to meet all requirements according do project assumptions. For the first time, ATmega8-based circuit was implemented [2] to control each particular component built-in the supply. That system, due to small number of peripherals and low frequency working with, had considerable limitations thus DSP-based driver was proposed and then constructed [3]. However, the problems being appeared, that resulted mainly from principle of DSP operation, excluded also this driver. Eventually, control system basing on ATmega128 was designed. The circuit was constructed according to the first control system driver project. It fulfills all of the assumptions mostly as a consequence of control algorithm adjustment. The system allows to work with 11.05911 MHz frequency as well as external quartz-crystal resonator can provide. Various measurements and control components were implemented, thus all-in 8 ADC channels, 20 I/O ports and two PWM channels of the microcontroller with additional communication interfaces are being used to deliver necessary functionality for the UPS. As plenty of parameters have to be captured during back-up system operation, three different noise canceller techniques have been implemented for embedded analog-to-digital controller.
This includes short analog signal path, LC network between analog and digital supplying and usage of ADC channels only as analog ones. By virtue of this the following conclusion can be found. Accurate measurement and management is not only important due to proper operation of the supply but it also plays significant role in terms of scientific investigation. In the other words, measurement of important parameters with high accuracy facilitates evaluation of internal energy sources such as fuel cell stack and supercapacitors in specific condition of UPS operation.
Gaseous part
Figure 2 presents the diagram of gaseous part. The 500 sl metal hydride tank supplies the fuel cell through the pressure regulator to obtain max. 1.5 bar on the anode side. There are electromagnetic valves (V1, V2), mass flow controller and pressure transducers (T1, T2) installed due to managing of hydrogen utilization.
As was proven during investigations the UPS basing on the fuel from the tank is able to supply connected load for 15 minutes. These investigations were performed at the conditions of open V2 valve (0.4 bar initial hydrogen pressure) so the fuel was only spent partially. In order to increase the efficiency of conversion, fuel cell’s dead-end capable system has been implemented. The solution provides great opportunity to spend as much fuel as possible.


The difference between time of operation is shown in figure 3. At a constant power of 400 W and in case when the hydrogen outlet is open, UPS is able to work for about 15 minutes. During the research hydrogen pressure has been corrected twice to extend the time of operation, possibly in maximal-way. The upper graph shows automatic managing of hydrogen utilization. In this case control system closes V2 valve (dead-end-capability) to increase conversion efficiency thereby the time of working is doubled – approximately to 35 minutes. In order to use dead end capability, outlet valve is periodically being opened for a few seconds mainly due to water steam which mitigates the level of fuel conversion. This is indicated by temporary rise of fuel cell’s voltage resulting from hydrogen purification.
As a supplement of design description, figure 4 and 5 depict configuration of particular components in the UPS.

1 – electrical part and: 2 – Converter AC/DC, 3 – Converter DC/DC, 4 – Supercapacitors (SC)

1 – fuel cell (FC), 2 – metal hydride tank, 3 – inverter, 4 – compressor, 5 – electronic μC – based driver
Usability evaluation
Constructions of various applications of fuel cells is not only due to better characteristics and parameters in comparison to the existing products – because it could be often controversial, but by reason of necessity for environmental-friendly technologies’ implementation. Such an opportunity give fuel cells, therefore different reports predict enormous growth in this market. Looking at the advantages of fuel cells two issues appear. The first is efficiency the stack can convert chemical energy with, which is as high as 40% for electricity generation in case of PEM fuel cells. The other is size of the energy that can be produced which is up to the amount of hydrogen being stored. That’s theory. However, some limitations of fuel cell application in the Supply during investigation are being seen. First of all is the principle of fuel cell operation which involved the UPS to be constructed in sophisticated way. So, apart from the fuel cell stack, various devices have to be engaged to conduct chemical conversion of the hydrogen into the electricity. This includes but is not limited to hydrogen containers, air compressors, blowers, electromagnetic valves, flow controller and temperature, pressure, and current sensors. During fuel cell operation the problem may occur with one of the above devices, leads to the failure of the entire system. That sounds particularly in comparison to the classic batteries’ principle of working.
The other issue is the amount of energy that has to be spent to keep the stack on. This results, as above, from implementation of particular elements which require electricity to work. For instance, the power spent for own purposes during UPS operation is as high as 25% of the stack rated power.
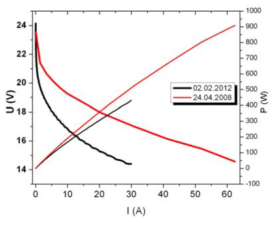
Looking at the structure of the typical fuel cell stack various materials can be found that are susceptible to ageing processes. For example typical membrane electrode assembly (MEA) of the fuel cell is made from Nafion-based electrolyte film with carbon/platinum electrodes on each side. It’s common situation the efficiency is partially decreased when fuel cell stack works or is stored in severe conditions which rely on low humidity, over-range temperature or presence of carbon oxide in the fuel. Such a phenomena has been observed since fuel cell stack purchase for the UPS. There are results of voltage-current measurements depicted in figure 6. At the beginning the stack worked as well as fuel cell’s manufacturer declaration. However, after four years we observed approximately 50% reduction of the rated power. The ageing process we predict is connected with inappropriate storage place such as low humidity what permanently scaled-down the ionic conductivity of membrane electrolytes.


The second devices built in the UPS intended to store the energy are supercapacitors. Although state-of-the-art supercapacitors have enormous capacitance, typically they can not successfully substitute the batteries in terms of capability of energy storage. As is shown in figure 7 there are two curves made due to comparison of built-in supercapacitors and Pb-acid battery. In spite of comparable volume they have, the battery obtained about 28 Ah of electric charge transferred, while the supercapacitors with capacitance of 3 kF only 2.3 Ah. Thus, it seems that supercapacitors application in stationary systems may be senseless. However, advantages such as huge number of charging-discharging cycles, low internal resistance, long life time and wide range of operating temperature, convince that these energy carriers may find various applications, especially mobile and for transportation ones.
Conclusions
Various tests have been made to evaluate fuel cell and supercapacitors based UPS. The principles of the project excludes typical disadvantages of the classic UPS, such as limited time of operation or long period of charging. This is provided respectively with fuel cell implementation which generates as much energy as amount of hydrogen is stored and with supercapacitors that are characterized by low internal resistance which leads to short time of charging.
Metal hydride tank containing about 500 sl of hydrogen gives an opportunity to supply 400 W load for 15 minutes, however, this value was significantly increased up to 35 minutes by controlling of the fuel utilization using dead-end-capable system. By mounting of the high pressure tank which would have an ability to store more hydrogen or even by replacing of high energy consumption air compressor with a pressure oxygen vessel this value can by further elongated.
The other way is to substitute assembled fuel cell stack by so-called open-cathode stack which is adjusted to use the blowers both for cooling and oxidant delivering at the same time. That solution would eliminate air compressor, bringing additive power to external loads.
As fuel cell stack was used in this project the following issues appeared that have negative influence on usability evaluation: the quantity of the equipment which is required by the stack to operate and which in case of problem with one of them, may lead to the failure of the entire system; the ageing processes that lower the efficiency of fuel cells; capability of supercapacitors to store the energy comparing to the other sources such as Pb-acid battery. In spite of up-to-date disadvantages, the applications of fuel cells in solutions such as uninterruptible power supply will find confirmation due to current enormous development of these energy converters and general hydrogen technology.
Additional question is unavoidable transformation to the hydrogen economy which seems to be closer than we can think about.
The research was supported by Wroclaw Research Centre EIT+ under the project “The Application of Nanotechnology in Advanced Materials” – NanoMat (POIG.01.01.02-002/08) financed from the European Regional Development Fund (Operational Programme Innovative Economy, 1.1.2)
REFERENCES
[1] Kerr R. A.: Do We Have the Energy For the Next Transition?, Science, 329, (2010), 780-781.
[2] Malinowski M,. Paściak G., Bujło P., Chmielowiec J.: Uninterruptible power supply (UPS) as an example of the fuel cell and ultracapacitors application. Proceedings of the Electrotechnical Institute, Pl, 248, (2010).
[3] Malinowski M,. Pasciak G., Debowski L.: Uninterruptible Power Supply Unit with Fuel-Cell as a Backup Energy Source and DSP-based Control System. PCIM Europe 2011, 17-19 May 2011, Nuremberg, Germany, 1181 – 1186
[4] Hwang J. J., Wang D. Y., Shih N. C.: “Development of a Lightweight Fuel Cell Vehicle”, J. Power Sources, 141, (2005), 108-115
[5] Bujło P., Sikora A., Paściak G., Chmielowiec J.: Energy flow monitoring unit for Hy-IEL hybrid (PEM fuel cell-supercapacitor) electric scooter. Electrical Review, 86 (2010), No. 3, 271-273
[6] [2] Weigl J., Saidi H.: “Pios Hydrogen Fuel Cell Tricycle”, J. Hydrogen Energy, 30, (2005), 1035-1036
[7] Bujło P., Bieniecki S., Pasciak G., Chmielowiec J., Mazurek B., Perz J.: “Hybrid Fuel Cell Supercapacitor System for HY-IEL Electric Scooter Drive”, Proceedings of 17-th World Hydrogen Energy Conference, Brisbane, Australia 15 – 19 June 2008
[8] Varkaraki E., Lymberopoulos N., Zachariou A.: Hydrogen based emergency back-up system for telecommunication applications, J. Power Sources, 118, (2003), 14–22
Authors: mgr inż. Marek Malinowski, E-mail: m.mal@iel.wroc.pl, dr inż. Jacek Chmielowiec, E-mail: chmielna@iel.wroc.pl, dr inż. Grzegorz Paściak, E-mail: g.pasciak@iel.wroc.pl, mgr inż. Tymoteusz Świeboda, E-mail: t.swieboda@iel.wroc.pl, Electrotechnical Institute, Renewable Energy Sources Section, M. Sklodowskiej-Curie 55/61, 50-369 Wroclaw, Poland.
Source & Publisher Item Identifier: PRZEGLĄD ELEKTROTECHNICZNY, ISSN 0033-2097, R. 89 NR 8/2013